, 홍지연2
, 한영희3
, 공보정1
, 장몽원4
, 나우리5
, 손정민6
, 현태선7
, Jiyoun Hong2
, Young Hee Han3
, Bo Jeong Gong1
, Meng Yuan Zhang4
, Woori Na5
, Cheongmin Sohn6
, Taisun Hyun7






Objectives
A mobile health intervention program was provided for employees with overweight and obesity for 12 weeks, and a process evaluation was completed at the end of the program. We investigated participant engagement based on app usage data, and whether engagement was associated with the degree of satisfaction with the program.
Methods
The program involved the use of a dietary coaching app and a wearable device for monitoring physical activity and body composition. A total of 235 employees participated in the program. App usage data were collected from a mobile platform, and a questionnaire survey on process evaluation and needs assessment was conducted during the post-test.
Results
The engagement level of the participants decreased over time. Participants in their 40s, high school graduates or lower education, and manufacturing workers showed higher engagement than other age groups, college graduates, and office workers, respectively. The overall satisfaction score was 3.6 out of 5. When participants were categorized into three groups according to their engagement level, the upper group was more satisfied than the lower group. A total of 71.5% of participants answered that they wanted to rejoin or recommend the program, and 71.9% answered that the program was helpful in improving their dietary habits. The most helpful components in the program were diet records and a 1:1 chat with the dietary coach from the dietary coaching app. The barriers to improving dietary habits included company dinners, special occasions, lack of time, and eating out. The workplace dietary management programs were recognized as necessary with a need score of 3.9 out of 5.
Conclusions
Participants were generally satisfied with the mobile health intervention program, particularly highly engaged participants. Feedback from a dietary coach was an important factor in increasing satisfaction.
A mobile health intervention program was provided for employees with overweight and obesity for 12 weeks, and a process evaluation was completed at the end of the program. We investigated participant engagement based on app usage data, and whether engagement was associated with the degree of satisfaction with the program.
The program involved the use of a dietary coaching app and a wearable device for monitoring physical activity and body composition. A total of 235 employees participated in the program. App usage data were collected from a mobile platform, and a questionnaire survey on process evaluation and needs assessment was conducted during the post-test.
The engagement level of the participants decreased over time. Participants in their 40s, high school graduates or lower education, and manufacturing workers showed higher engagement than other age groups, college graduates, and office workers, respectively. The overall satisfaction score was 3.6 out of 5. When participants were categorized into three groups according to their engagement level, the upper group was more satisfied than the lower group. A total of 71.5% of participants answered that they wanted to rejoin or recommend the program, and 71.9% answered that the program was helpful in improving their dietary habits. The most helpful components in the program were diet records and a 1:1 chat with the dietary coach from the dietary coaching app. The barriers to improving dietary habits included company dinners, special occasions, lack of time, and eating out. The workplace dietary management programs were recognized as necessary with a need score of 3.9 out of 5.
Participants were generally satisfied with the mobile health intervention program, particularly highly engaged participants. Feedback from a dietary coach was an important factor in increasing satisfaction.
우리나라에서는 국민의 질병 예방 및 건강증진을 위한 중장기 정책방향을 제시하고자 국민건강증진종합계획(Health Plan, HP)을 2002년부터 10년 단위로 수립하고, 5년마다 보완계획을 마련하고 있다. 제5차 HP 2030의 성과지표 중 성인 남성과 여성의 비만 유병률 목표는 2018년을 기준으로 각각 42.8% 이하와 25.5% 이하를 유지하는 것이지만[1], 2021년 국민건강영양조사 결과 이미 남성 46.3%, 여성 26.9%로 목표 대비 악화된 것으로 나타났다[2]. 또한 최근 10년간 체질량지수(body mass index, BMI) 30-34.9 kg/m2인 2단계 비만 유병률은 3.6%에서 5.9%로, BMI 35 kg/m2 이상인 3단계 비만의 유병률은 0.4%에서 1.1%로 증가하였다[3]. 이와 같이 비만 유병률은 지속적으로 증가하고 있어 이를 감소시키기 위한 중재가 필요하다. 지역사회 통합건강증진사업에서는 비만에 대한 인식 개선을 위한 대국민 홍보 활동과 지역사회 기반 비만·운동클리닉사업을 추진하고 있으나[4], 직장인의 경우 하루의 대부분을 직장에서 보내고 있어 지역사회의 보건 서비스에 대한 접근성은 낮은 상태이다.
대기업과 중소기업 종사자 2,000명을 대상으로 조사한 결과, 대부분의 직장인들은 건강관리에 대한 관심이 많고 중요하게 생각하고 있으나, 시간적, 경제적 여유가 없어서 건강관리를 하지 못한다고 하였으며, 직장 내에서의 건강증진활동이 중요하다고 인식하였다[5]. 또한 직장 내 건강증진활동 중에서도 식생활을 포함한 생활습관 개선분야의 요구도가 가장 높았다[6]. 국내에서 직장을 기반으로 식생활 중재 프로그램을 실시하고 그 효과를 보고한 연구로는 대사증후군 또는 과체중 이상 직장인을 대상으로 체지방률 감소, 허리둘레 감소 등의 효과를 보고한 연구들이 있으며[7, 8, 9], 최근에는 직장에서 모바일 건강관리 프로그램을 실시하고 그 효과를 보고한 연구들이 국내외에서 발표되고 있다[10, 11, 12].
모바일 기기를 이용한 건강관리 프로그램의 경우 대상자가 스스로 기록하고 실천하는 것이 프로그램의 효과를 높이기 위해 중요한 요인이며, 모바일 프로그램의 참여(engagement)는 앱의 활용 정도(양, 빈도, 기간)로 정의할 수 있다[13]. 참여를 확인할 수 있는 지표로는 로그인한 횟수, 앱을 사용한 기록, 사용한 시간, 방문하여 읽은 페이지 수 등이 사용된다[14]. 모바일 건강관리 프로그램에서 식사기록, 체중 측정 및 기록, 로그인 빈도, 사용시간 등의 참여활동을 많이 할수록 신체활동 증가와 체중 감량에 더 효과가 있는 것으로 보고되었다[13, 14, 15, 16, 17, 18].
본 연구진은 과체중 및 비만 직장인을 대상으로 12주 모바일 건강관리 프로그램을 진행한 후 효과평가를 실시하여 체중 감량과 식행동 개선 효과를 보고하였으며, 모바일 앱을 적극적으로 활용한 참여도 상위집단에서 체중이 더 효과적으로 감소하였고, 식행동이 더 긍정적으로 변화했음을 보고하였다[19]. 본 연구에서는 대상자의 앱 활용정도, 만족도, 난이도, 그리고 식습관 개선 및 체중조절에 도움이 된 정도 등의 과정평가를 실시하였고, 대상자의 특성에 따라 참여도에 차이가 있는지, 그리고 참여도에 따라 만족도 등의 과정평가 결과에 차이가 있는지를 알아보고자 하였다.
Ethics statementThe study was approved by the Institutional Review Board of Chungbuk National University (CBNU-201906-BMSB-0113). All participants were informed of the study purposes and protocols, and they provided written informed consent. |
선행연구[19]에 기술된 바와 같이 서울, 경기, 충청 지역에 위치한 공공기관과 중소기업 8개 사업장에서 건강관리 프로그램에 관심있는 과체중 및 비만 직장인을 모집하였다. 모집된 293명 중 사전조사에 참석하지 않았거나 BMI 23 kg/m2 미만인 27명을 제외한 266명이 건강관리 프로그램에 참여하였다. 12주간의 건강관리 프로그램은 사업장마다 시작 시기에 차이가 있어 2019년 6월부터 10월까지 실시되었으며, 이 중 퇴사자 7명, 자진 철회자 3명, 사후조사 불참자 21명을 제외한 총 235명의 자료를 최종 분석하였다. 과정 평가를 위한 설문조사는 12주 건강관리 프로그램 종료 후에 사후조사와 함께 실시하였다.
프로그램의 목표는 (1) 프로그램 등록자의 80% 이상이 12주 동안 제공되는 건강관리 프로그램에 참여하는 것, (2) 참여자의 60% 이상이 체중 2 kg 이상, 또는 체지방율 2% 이상, 또는 허리둘레 2 cm 이상 감소하는 것이었다.
대상자 스스로 건강한 식생활과 생활습관을 관리할 수 있도록 식생활코칭 앱인 NOOM (눔코리아(주), 한국)의 유료 서비스와 신체활동 및 체성분을 측정할 수 있는 웨어러블 기기인 인바디밴드2((주)인바디, 한국)를 제공하였다. 대상자가 수행해야 하는 과제는 12주 동안 (1) 식생활코칭 앱에 주 2일 이상 식사 기록을 하고 1:1 코칭서비스를 받는 것, (2) 스마트밴드를 매일 착용하고 하루에 한 번 앱과 연동시키는 것, (3) 스마트밴드를 이용하여 주 1회 체성분을 측정하는 것이었다. 연구진은 인스턴트 메신저앱인 카카오톡 채널((주)카카오, 한국)을 이용하여 전체 대상자를 관리하고 지원하였다.
프로그램의 과정 및 내용은 Table 1과 같다. 프로그램을 시작하기 전 연구진은 각 사업장을 방문하여 사전조사(설문조사, 신체계측조사, 식사조사)를 실시하였고, 프로그램에 사용되는 앱을 각자의 스마트폰에 설치하도록 도와주었으며, 프로그램 내용 및 수행 방법을 설명하였다. 1주차에는 식생활코칭 앱과 스마트밴드 사용 방법과 수행 과제에 대하여 문자로 다시 안내하였고, 2주차부터는 앱 사용을 잊지 않도록 문자를 보냈으며, 참여도가 낮은 대상자에게는 문자나 전화로 개별 연락을 하였다. 4주차에는 참여도가 높은 대상자에게 인센티브를 제공하여 프로그램 참여를 독려하였다. 6주차는 중간 점검을 위해 각자 체중을 측정하여 기록하도록 한 후 7주차에 사업장별 체중 감량 목표 달성률을 공지하였다. 8-11주차에는 프로그램 참여 독려를 위해 주 1회 미션을 수행하도록 한 후 우수자에게 인센티브를 제공하였다. 주차별 미션은 「프로그램 참여 후 변화된 점 댓글 올리기」, 「우유 마시고 영양표시 확인 후 인증사진 올리기」, 「채소 먹고 인증사진 올리기」, 「다른 사람들의 게시물에 ‘좋아요’ 올리기」였다. 12주차에는 프로그램 종료 시점을 안내하고, 사후조사를 공지하였다.사후조사에서는 설문조사, 신체계측조사, 식사조사를 실시하였고, 신체계측조사 직후 대상자에게 프로그램 참여 전후 신체 변화에 대한 결과지 및 만성질환 예방을 위한 영양정보를 제공하였다. 결과 분석 후 참여도가 높고 체중감량 결과가 우수한 개인과 사업장을 선정하여 포상하였다.
Table 1
Process and contents of mobile health program
참여 기업의 유형, 직원 수, 급식소 운영 여부, 급식소를 운영하지 않는 경우 식사 지원 방법, 직장 건물 내 식품의 접근성, 최근 2년 이내 건강관리 프로그램의 제공 여부, 건강관리를 위한 시설 제공 여부 등의 문항을 기업의 프로그램 담당자에게 이메일로 전송한 후 사전조사 시 회수하였다.
대상자의 일반사항은 선행연구[19]에서 보고한 바와 같이 사전조사 시 성별, 나이, 결혼 여부, 교육수준, 월평균 소득, 직종, 교대근무 여부에 관한 문항을 조사하였다. 사후조사 시에는 직장에서 제공되는 건강관리 프로그램 참여 경험과 모바일 건강관리 앱 사용 경험을 조사하였다.
프로그램이 모두 끝난 후 프로그램의 과정 평가를 위한 설문조사를 실시하였다. 프로그램 만족도 평가 문항은 프로그램 전체, 식생활코칭 앱 활용, 스마트밴드 활용의 3문항으로 구성하였으며, ‘매우 불만족한다’, ‘불만족한다’, ‘보통이다’, ‘만족한다’, ‘매우 만족한다’의 다섯 가지 응답 보기 중 선택하도록 하여 5점 Likert 척도로 평가하였다. 그 외에 프로그램 수행의 전반적인 난이도, 식습관 개선 및 체중조절에 도움이 된 정도, 프로그램 기간에 대한 의견, 본 프로그램을 다시 제공한다면 재참여하거나 주위에 권할 의향 여부, 참여할 의향이 있는 경우 비용을 지출할 의사가 있는지, 지출 가능한 금액이 얼마인지 등의 문항으로 구성하였다.
프로그램의 각 구성 요소 수행의 난이도를 알아보기 위하여 식생활코칭 앱 부분에서는 식사기록, 코치와의 1:1 대화, 그룹활동, 전반적인 활용의 4문항과 스마트밴드의 부분에서는 매일 밴드 착용, 하루 한 번 스마트폰과의 연동, 주 1회 체지방 측정의 3문항을 구성하였다. 응답은 ‘매우 어렵다’, ‘어렵다’, ‘보통이다’, ‘쉽다’, ‘매우 쉽다’의 다섯 가지 중 선택하도록 하여 5점 Likert 척도로 평가하였다.
프로그램의 각 구성 요소가 식습관 개선과 체중조절에 어느 정도로 도움이 되었는지를 알아보기 위하여 식생활코칭 앱 부분에서는 식사기록, 코치와의 1:1 대화, 그룹활동, 영양정보의 4문항과 스마트밴드 부분에서는 매일 밴드 착용, 주 1회 체지방 측정의 2문항을 포함하였고, 그 외에 본인의 의지, 가족의 지지, 동료의 지지, 인센티브의 4문항을 추가하였다. 응답으로는 ‘전혀 도움이 되지 않았다’부터 ‘매우 도움이 되었다’의 다섯 가지 보기를 제시하였고 5점 Likert 척도로 평가하였다. 그 외에 식습관 개선과 운동 실천의 방해요인, 프로그램 참여 후 개인적으로 변화된 점과 직장생활에서 변화된 점에 대한 4개의 문항은 보기를 제시한 후 문항에 따라 1개 또는 2개 이상을 선택하도록 하였다.
직장에서 건강관리 프로그램을 제공하는 것이 어느 정도로 필요하다고 생각하는지에 대한 문항과 구체적으로 식생활관리, 운동, 만성질환관리, 정신건강관리, 금연·절주 프로그램을 제공하는 것은 어느 정도로 필요하다고 생각하는지에 대한 총 6문항을 구성하였다. 응답은 ‘전혀 필요하지 않다’부터 ‘매우 필요하다’의 다섯 가지 중에서 선택하도록 하였고. 5점 Likert 척도로 평가하였다.
대상자가 활용한 앱에서 수집한 데이터를 점수화하여 참여도 점수를 산출하였다. 식생활코칭 앱과 스마트밴드 앱의 활용을 같은 비중으로 두기 위해 식생활코칭 앱과 스마트밴드 앱에서 얻은 점수를 각각 최고점 50점으로 환산하고 두 점수를 더하여 100점이 되도록 하였다. 식생활코칭 앱을 활용하는 수행 과제는 주 2일 이상 식사기록을 하는 것으로, 주 2일 이상 식사기록을 한 경우 주당 1점을 주었고, 최고점 12점을 50점으로 환산하였다. 스마트밴드 활용 과제는 매일 착용하여 앱에 연동시키는 것과 주 1회 이상 체지방을 측정하는 것으로, 매일 착용하여 앱에 연동시킨 경우 하루 1점을 주어 최고점 84점, 주 1회 이상 체지방을 측정한 경우 주당 1점을 주어 최고점 12점으로 점수화하고, 같은 비중으로 즉, 각각 25점 만점으로 최고점 50점의 점수로 환산하였다. 이와 같이 산출된 참여도 점수가 80점 이상인 경우 상위집단(upper group, UPG), 50점 이상 80점 미만인 경우 중위집단(median group, MDG), 50점 미만인 경우 하위집단(lower group, LG)으로 분류하였다. 이와 비슷하게 대상자의 주차별 참여도 점수는 주 2일 이상 식사기록을 하는 경우 최고 50점, 스마트밴드를 매일 착용하여 앱에 연동시키면 최고 25점, 주 1회 이상 체지방을 측정하면 25점으로 하여 100점이 되도록 하였다.
대상자의 참여도와 5점 척도로 점수화한 문항의 경우 평균과 표준편차를 구하였고, 범주형 변수는 빈도와 백분율을 구하였다. 대상자의 특성에 따라 주차별 참여도 점수에 차이가 있는지를 알아보기 위해서는 t-test 또는 일원분산분석(analysis of variance, ANOVA)으로 검증하였다. 참여도에 따라 분류한 세 집단 간의 프로그램에 대한 만족도, 프로그램 과정 평가 문항, 건강관리 프로그램에 대한 요구도에 차이가 있는지를 알아보기 위하여 범주형 변수는 χ2-test 또는 Fisher’s exact test로 검증하였고, 연속형 변수는 ANOVA와 Duncan’s multiple range test를 이용하여 검증하였다. 유의수준은 P < 0.05를 기준으로 하였으며, 모든 자료는 SAS version 9.4 (SAS Institute Inc., Cary, NC, USA)를 이용하여 분석하였다.
대상자가 근무하는 사업장은 공공기관 1개, 제조업체 6개, 소프트웨어 기술서비스업체 1개였고, 근무 인원은 250명 미만이 4개, 250-500명이 4개였다. 급식을 제공하는 업체는 5개였고, 급식을 제공하지 않는 3개 중 2개 업체는 외부 음식점과 계약을 맺고 있었다. 직장 건물 내에 직원들이 이용할 수 있는 매점이나 편의점이 있는 업체는 3개, 자동판매기가 있는 업체는 3개였으며, 모든 직장 내에 음료 또는 간식이 비치된 탕비실 또는 휴게실이 있었다. 최근 2년 이내 건강관리 프로그램을 제공한 업체는 없었으며, 직원들의 건강관리를 위한 시설은 5개 업체가 갖추고 있었다.
대상자의 일반사항은 선행연구[19]에 보고된 바와 같이 남성이 78.3%였으며, 평균 연령은 36.9세였고, 직업은 사무직이 66.8%, 생산직이 33.2%였다. 참여도에 따라 분류한 세 집단 간에 일반사항의 차이는 없었다. 대상자 235명 중 1명만 직장에서 제공되는 건강관리 프로그램에 참여한 경험이 있다고 응답하였다. 또한 대상자의 81.3%는 모바일 건강관리 앱을 사용한 경험이 없었으며, 11.5%는 웨어러블 기기를 사용한 경험이 있었고, 6.8%는 식생활코칭 앱을 사용한 경험이 있다고 응답하였다.
Fig. 1은 중재기간 동안 대상자가 수행해야 할 과제별로 참여자의 비율을 나타낸 그림이다. 주 2일 이상 식사기록은 첫 주에는 98%의 대상자가 참여하였지만 12주에는 50%로 감소하였고, 스마트밴드를 매일 착용하여 앱에 연동시키는 과제는 대상자 중 84%에서 43%, 주 1회 이상 체지방을 측정하는 과제는 대상자의 76%에서 32%로 시간이 지남에 따라 지속적으로 감소하였다(A). 전체 참여도 점수에 따라 집단을 분류하고 각 과제별 참여자의 비율을 살펴본 결과 하위집단은 세 가지 과제 모두에서 초기 1개월에 급격히 감소하는 것을 볼 수 있다(B-D).
Fig. 1
Engagement in each task over time
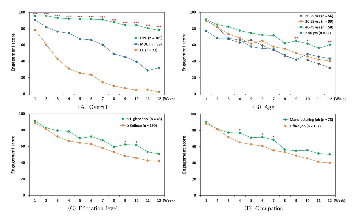
Fig. 2는 중재기간 동안 주차별 참여도 점수를 대상자의 특성에 따라 나타낸 그림이다. 참여도 집단에 따라서는 모든 기간 동안 유의적인 차이가 있었고(A), 연령(B), 교육수준(C), 직업(D)에 따라서는 일부 기간에서 유의적인 차이가 있었다. 40대가 다른 연령대보다, 고졸 이하가 대졸 이상보다, 생산직이 사무직보다 참여 점수가 높은 경향이었으나, 성별, 결혼 여부, 월수입, 교대 근무 등 다른 특성에서는 차이가 없었다.
Fig. 2
Engagement according to participants’ characteristics over time (*P<0.05, **P<0.01, ***P<0.001 by ANOVA or t-test)
프로그램 만족도 결과는 Table 2와 같다. 전체 대상자의 프로그램에 대한 전반적인 만족도는 5점 만점으로 평가하였을때 3.6점, 식생활코칭 앱에 대한 만족도는 3.7점, 스마트밴드에 대한 만족도는 3.5점이었다. 참여도에 따라 세 집단으로 분류하였을 때 전반적인 만족도(P < 0.001), 식생활코칭 앱에 대한 만족도(P < 0.001), 스마트밴드에 대한 만족도 (P = 0.014) 모두 집단 간 유의적인 차이가 있었으며, 참여도가 높을수록 만족도가 높았다.
Table 2
Satisfaction of the intervention according to engagement level1)
프로그램에 대한 평가 결과는 Table 3과 같다. 프로그램에서 앱을 사용하도록 한 과제의 난이도를 묻는 질문에 대해 9.8%만이 ‘쉬웠다’라고 응답하였고, 46.4%는 ‘어려웠다’고 응답하였다. ‘어려웠다’의 비율은 상위집단에서는 34.3%, 중위집단에서는 45.8%, 하위집단에서는 64.8%로 참여도가 낮을수록 ‘어려웠다’고 응답한 비율이 높았다(P < 0.001).
Table 3
Evaluation of the program according to engagement level1)
본 프로그램이 식습관 개선과 체중조절에 도움이 되었는지에 대한 질문에 각각 71.9%와 60.0%가 도움이 되었다고 응답하였으며, 참여도가 높을수록 도움이 되었다고 응답한 비율이 높았다(각각 P = 0.001, P < 0.001). 프로그램 기간에 대한 의견은 64.7%가 ‘적당하다’라고 응답하였으며, 20.8%는 ‘더 길었으면 좋겠다’, 14.5%는 ‘더 짧았으면 좋겠다’고 응답하였으며, 참여도가 높을수록 ‘더 길었으면 좋겠다’고 응답한 비율이 더 높았다(P = 0.007).
전체 대상자의 71.5%가 프로그램에 다시 참여하거나 주위에 권유할 의향이 ‘있다’라고 응답하였고, 상위집단은 81.0%, 중위집단 74.6%, 하위집단 54.9%로 유의적인 차이가 있었다(P < 0.001). 프로그램에 다시 참여할 의향이 있는 사람들 중 48.8%가 비용을 지출할 의향도 있다고 응답하였고, 참여도 상위집단은 58.8%, 중위집단 43.2%, 하위집단 33.3%로 유의적인 차이가 있었다(P = 0.021). 지출 가능한 비용을 자유롭게 서술하게 한 결과 월평균 35,000원으로 나타났다.
프로그램 구성 요소별 수행의 난이도는 Table 4와 같다. 식생활코칭 앱에서는 코치와의 1:1 대화가 보통보다 약간 쉬운 정도인 3.3점으로 가장 높은 점수였고, 다음으로 전반적인 활용(3.2), 식사기록(2.8), 그룹 활동(2.7)의 순이었다. 스마트밴드의 경우 일주일에 한 번씩 체지방 측정과 매일 스마트폰과 연동시키는 것이 보통인 3.0점이었고, 스마트밴드를 매일 착용하는 것은 2.9점이었다. 댓글 올리기 등의 그룹 활동을 제외한 모든 구성 요소의 난이도 점수는 참여도에 따른 세 집단 간 차이가 있었으며, 상위집단의 점수가 하위집단의 점수보다 유의적으로 높아 더 쉬웠다고 응답하였다.
Table 4
Easiness of performing each task according to engagement level1)
프로그램 구성 요소별 식습관 개선 및 체중조절에 도움이 된 정도는 Table 5와 같다. 식습관 개선에 도움이 된 정도는 식생활코칭 앱의 식사기록(3.8), 코치와의 1:1 대화(3.7), 제공된 영양정보(3.7)의 점수가 높았고, 다음으로는 개선하려는 의지(3.6), 스마트밴드 착용(3.5), 체지방 측정(3.5)의 순이었다. 가족의 지지(3.1), 동료의 지지(3.1), 인센티브(3.0), 식생활코칭 앱의 그룹 활동(2.9) 등은 보통 정도의 점수였다. 각각의 구성 요소의 도움 정도 점수는 상위집단에서 가장 높았으며, 그룹 활동과 동료의 지지를 제외한 모든 구성 요소에서 참여도 집단별 유의적인 차이가 있었다. 체중조절에 도움이 된 정도도 비슷한 결과로 식생활코칭 앱의 식사기록(3.8), 코치와의 1:1 대화(3.6), 제공된 영양정보(3.6), 체중조절에 대한 의지(3.6)의 점수가 높았고, 다음으로는 스마트밴드 착용(3.5), 체지방 측정(3.4)의 순이었다. 가족의 지지(3.0), 동료의 지지(3.0), 인센티브(3.0), 식생활코칭 앱의 그룹 활동(2.9)은 보통 또는 그 이하의 점수였다. 각각의 구성 요소의 도움 정도 점수는 상위집단에서 가장 높았으며, 그룹 활동을 제외한 모든 구성 요소에서 참여도 집단별 유의적인 차이가 있었다.
Table 5
Helpfulness of each component in improving dietary habits and controlling weight according to engagement level1)
식습관과 운동습관 개선에 대한 방해요인은 Table 6과 같다. 각 대상자마다 두 가지 요인을 선택하도록 하였으며, 표에 제시한 %는 응답을 인원수로 나눈 값이다. 식습관을 개선하는데 가장 어려웠던 요인은 59.1%가 ‘회식 및 모임’이라고 응답하였으며, 28.1%는 ‘휴가, 명절 등의 특별한 날’, 27.7%는 ‘시간 부족’, 27.2%는 ‘외식’, 20.9%는 ‘습관의 변화가 어려움’ 19.6%는 ‘의지 부족’ 10.6%는 ‘급식으로 인해 선택 가능한 식사의 종류가 제한적’이라고 응답하였다. 식습관 개선 방해요인은 참여도에 따른 세 집단 간에 유의적인 차이가 있었다(P < 0.05). 상위집단은 하위집단에 비해 ‘회식 및 모임’(62.8% vs 47.9%)과 ‘외식’(33.3% vs 16.9%)이라고 응답한 비율이 높았고, ‘시간 부족’(18.1% vs 38.0%), ‘의지 부족’(13.3% vs 31.0%)이라고 응답한 비율은 낮았다. 운동습관을 개선하는데 가장 어려웠던 요인은 64.2%가 ‘피로’, 49.8%가 ‘시간 부족’, 49.4%가 ‘의지 부족’, 18.7%가 ‘날씨’, 6.4%가 ‘운동장소 부족’이라고 응답하였으며, 참여도에 따른 세 집단 간의 차이는 없었다.
Table 6
Barriers to behavior change according to engagement level1)
프로그램을 통해 개인적으로 변화된 점에 대한 중복응답 결과 63.0%의 대상자가 ‘건강관리에 대한 인식 변화’라고 하였고, 53.2%는 ‘식습관 개선’, 47.2%는 ‘식품·영양에 대한 지식 증가’, 42.1%는 ‘규칙적 운동 습관’, 37.9%는 ‘체중 감소 등 신체 변화’, 29.4%는 ‘체중조절에 대한 자신감 증가’라고 응답하였다. 직장생활에서 변화된 점은 단일응답 질문으로, 31.5%가 ‘직원 간 소통 증가’, 17.9%는 ‘없다’라고 응답하였으며, 그 외에 16.6%는 ‘직장의 만족도 증가’, 13.2%는 ‘업무집중도 향상’, 12.8%는 ‘업무 스트레스 감소’라고 응답하였다.
건강관리 프로그램에 대한 요구도는 Table 7과 같다. 직장에서의 전반적인 건강관리 프로그램에 대한 요구도는 전체 대상자가 4.0점으로 나타났으며, 운동 프로그램과 정신건강관리 프로그램이 4.1점으로 가장 높았고, 그 다음으로 식생활관리 프로그램과 만성질환 관리 프로그램이 3.9점, 금연·절주 프로그램은 3.7점으로 나타났다. 건강관리 프로그램(P = 0.002), 정신건강관리 프로그램(P = 0.044), 식생활관리 프로그램(P = 0.013)에 대한 요구도는 세 집단 간에 유의적 차이가 있었으며, 건강관리 프로그램은 상위집단이 중위집단과 하위집단에 비해, 정신건강관리 프로그램과 식생활관리 프로그램은 상위집단이 중위집단에 비해 높은 점수이었다.
Table 7
Needs of health care program at the workplace according to engagement level1)
과체중 및 비만 직장인 235명을 대상으로 식생활코칭 앱과 스마트밴드를 활용한 12주 간의 모바일 건강관리 프로그램을 실시하고 대상자의 참여도를 분석한 결과 시간이 지남에 따라 참여도가 지속적으로 감소하였다. 참여도는 40대가 다른 연령대보다, 고졸 이하가 대졸 이상보다, 생산직 근로자가 사무직 근로자보다 높은 경향을 보였고, 그 외 성별, 결혼여부, 월수입, 교대 근무에 따라서는 유의적 차이를 보이지 않았다. 당뇨관리 앱의 사용 패턴을 보고한 선행연구[20]에서도 본 연구 결과와 비슷하게 시간이 지남에 따라 앱 사용 참여도가 지속적으로 감소하였으나, 본 연구와는 달리 여성의 참여도가 남성에 비해 높은 것으로 보고하였다. 그 외의 연구에서도 모바일 건강관리 프로그램의 참여도는 프로그램의 기간이 길어짐에 따라 감소하는 것으로 나타나[21, 22], 프로그램을 계획할 때 대상자의 참여도를 지속적으로 유지시킬 수 있도록 새로운 컨텐츠 제공, 보상 제공 등의 전략이 필요할 것으로 보인다. 본 연구에서는 4주차에 참여도가 높은 대상자에게 인센티브를 제공하였고, 6주차에 체중을 측정하는 중간점검을 하였으며, 8주차부터는 매주 미션과 인센티브를 제공함으로써 대상자의 참여를 유지시키고자 하였으나 참여도는 지속적으로 감소한 것으로 나타났다.
본 프로그램은 266명이 참여를 시작하였고 235명이 사후조사를 완료하여 처음 등록자의 88%가 12동안 참여한 것으로 보이지만, Fig. 1에 나타난 바와 같이 하위집단의 경우 10주 이후 거의 참여를 하지 않은 것을 알 수 있다. 따라서 첫 번째 목표인 ‘프로그램 등록자의 80% 이상이 12주 동안 프로그램에 참여하는 것’은 달성되었다고 하기 어렵겠다.
본 프로그램에 대한 전반적인 만족도는 5점 기준으로 3.6점이었으며, 식생활코칭 앱과 스마트밴드의 만족도는 각각 3.7점과 3.5점이었다(Table 2). 참여도에 따라 세 집단으로 분류하여 비교한 결과 전반적인 만족도(P < 0.001), 식생활코칭 앱에 대한 만족도(P < 0.001), 스마트밴드에 대한 만족도 (P = 0.001) 모두에서 상위집단의 만족도 점수가 다른 집단보다 유의하게 높게 나타났다. 특히 식생활코칭 앱의 만족도 점수는 상위집단에서 3.9점으로 높게 나타났다. 프로그램 구성 요소별 식습관 개선 및 체중조절 개선에 도움이 된 정도를 분석한 결과에서도(Table 5) 식생활코칭 앱의 식사기록이 3.8점으로 가장 높은 점수를 나타냈으며, 식사기록 후 분석결과 제공, 코치와의 1:1 대화를 통한 피드백 메시지 제공, 영양정보 제공 등도 점수가 높게 나타나 식생활에 대한 피드백 정보가 도움이 되었음을 알 수 있었다. Nelson의 연구[22]에서도 건강관리 프로그램 참여 대상자에게 피드백 메시지를 제공하였을 때 대상자의 참여도가 높다고 보고하였다.
그러나 프로그램에서 주어진 과제를 수행하는 것이 ‘쉬웠다’고 응답한 대상자는 전체의 9.8%, ‘어려웠다’고 응답한 대상자는 46.4%로(Table 3), 식생활코칭 앱을 사용하여 주 2회 식사기록을 하고, 웨어러블 기기를 매일 사용하는 것이 쉽지는 않았던 것으로 여겨진다. 프로그램의 구성 요소별 수행 난이도 점수에서 식사기록(2.8)과 스마트밴드 매일 착용(2.9)은 보통인 3점보다 낮았다(Table 4). 대상자 중 식생활코칭 앱과 웨어러블 기기를 사용한 경험이 있다고 응답한 비율은 각각 6.8%, 11.5%로 대부분 건강관리 앱을 사용한 경험이 없었다. 한국미디어패널조사에 의하면 본 중재 프로그램이 실시되었던 2019년 웨어러블 기기 보유율은 3.9%였으며, 그 중 시계를 포함한 손목 착용 기기가 31.6%였다[23]. 그러나 2022년에는 웨어러블 기기 보유율은 21.0%, 손목 착용 기기는 그 중 48.3%로 증가한 것으로 나타나[24], 앞으로는 웨어러블 기기를 활용한 건강관리 프로그램을 덜 어렵게 인식할 수 있을 것으로 예측된다. 또한 본 프로그램에서는 식생활코칭 앱과 스마트밴드 2개의 앱을 각각 활용하였으나 앞으로 통합된 앱이 개발되면 좀 더 쉽게 활용할 수 있을 것이다.
과제를 수행하는데 어려움은 있었지만 전체 대상자 중 71.5%가 재참여를 원하는 것으로 나타났으며, 그 중 약 절반 정도는 비용을 지출할 의향이 있다고 하였다. 2019년 한국의료패널 자료에 의하면 19세 이상 성인 중 신체활동을 위해 비용을 지출한 적이 있는 사람은 전체의 21.3%인 1,850명이었으며, 이들은 신체활동을 위해 월평균 66,000원의 비용을 지출하고 있었다[25]. 직장에서 건강관리 프로그램 비용의 일부 또는 전부를 지원하는 모바일 건강관리 프로그램은 시간적으로도 비용적으로도 효율적인 중재 방법이 될 것으로 생각된다.
12주 프로그램 운영 기간에 대한 의견으로 ‘적당하다’는 의견이 과반수 이상이었다. 그러나 국내외 비만치료 지침에서는 생활습관 중재를 통해 체중감소를 성공했다 하더라도 유지 관리를 위해 6개월, 1년 이상의 자가 모니터링 등의 행동치료 기법을 권고하고 있다[26,27]. 또한 스마트폰을 활용한 체중 관리가 기존의 방식보다는 효과적인 방식이 될 수 있으나 6개월 미만의 단기 효과에만 적합하다는 결과도 있어[28], 프로그램 기간을 12주로 구성하더라도 그 이후에 행동 변화가 유지가 되고 있는지 추적 관리하는 프로그램을 운영하는 것이 필요할 것이다.
식습관 개선의 방해요인으로는 ‘회식 및 모임’라고 응답한 비율이 가장 높았으며, 참여도 하위집단에서는 ‘시간 부족’과 ‘의지 부족’의 비율이 상위집단보다 높았다(Table 6). 버스 운전자를 대상으로 한 포커스 그룹 인터뷰 연구에서도 식습관과 운동 습관 개선의 가장 중요한 촉진 요인을 ‘개인의 의지’라고 보고하여[29], 프로그램 참여자의 의지를 높이고 프로그램 참여도를 높일 수 있는 전략이 필요할 것으로 생각된다.
보건복지부에서는 근로자의 건강이 중요하다는 인식을 갖고 2022년 건강친화기업 인증제도를 도입하였고[30], 제3차 국민영양관리기본계획을 수립하면서 성인의 주요 생활공간인 직장기반 영양교육 프로그램을 개발·보급하여 직장인의 영양관리 실천 역량을 강화할 수 있는 추진과제를 마련하였다[31]. 본 연구에서는 중소기업에 근무하는 과체중 및 비만 직장인을 대상으로 식생활코칭 앱과 스마트워치를 활용하여 비교적 만족도가 높은 건강관리 프로그램을 실시함으로써 중소기업에서 제공 가능한 건강관리 프로그램의 모델을 제시했다는데 의의가 있다. 또한 프로그램의 참여도가 높을수록 만족도도 높다는 결과를 얻었다. 참여도와 만족도 간의 관련성을 조사한 연구는 아직 부족하고[32, 33], 만족도가 높아서 참여도가 높은 것인지, 참여도가 높고 체중 감량 효과가 있어서 프로그램에 만족한 것인지에 대해서는 명확하지 않다. 그러나 참여도와 만족도와 관련성이 있다는 결과로부터 프로그램의 참여도를 높이기 위해서는 대상자가 만족할 수 있는 프로그램을 제공하는 것이 필요하겠다.
12주 동안의 모바일 건강관리 프로그램을 운영한 결과 대상자의 참여도는 시간이 지남에 따라 감소하였고, 40대가 다른 연령대보다, 고졸 이하가 대졸 이상보다, 생산직이 사무직보다 참여도가 높은 경향을 보였다. 또한 참여도가 높을수록 만족도가 높았고, 가장 도움이 된 것은 식생활코칭 앱으로 그 중에서도 식생활 코치와의 1:1 대화의 점수가 가장 높았다. 모바일 건강관리 프로그램에서도 앱으로 혼자 관리하는 것보다는 영양사와의 상담과 영양사로부터의 피드백이 만족도를 높이는 요인이라는 것을 알 수 있었다.
Conflict of Interest:There are no financial or other issues that might lead to conflict of interest.
Funding:This study was supported by Korea Health Industry Development Institute.
The participants of this study did not give written consent for their data to be shared publicly, so due to the sensitive nature of the research supporting data is not available.
