, 이수경2),†
, Soo-Kyung Lee2),†
1)인하대학교 식품영양학과 대학원생
2)인하대학교 식품영양학과 교수
1)Graduate Student, Department of Food and Nutrition, Inha University, Incheon, Korea
2)Professor, Department of Food and Nutrition, Inha University, Incheon, Korea
© 2026 The Korean Society of Community Nutrition
This is an Open-Access article distributed under the terms of the Creative Commons Attribution Non-Commercial License (http://creativecommons.org/licenses/by-nc/4.0) which permits unrestricted non-commercial use, distribution, and reproduction in any medium, provided the original work is properly cited.
CONFLICT OF INTEREST
There are no financial or other issues that might lead to conflict of interest.
FUNDING
None.
DATA AVAILABILITY
The data that support the findings of this study are openly available in KNHANES at https://knhanes.kdca.go.kr/knhanes/main.do.
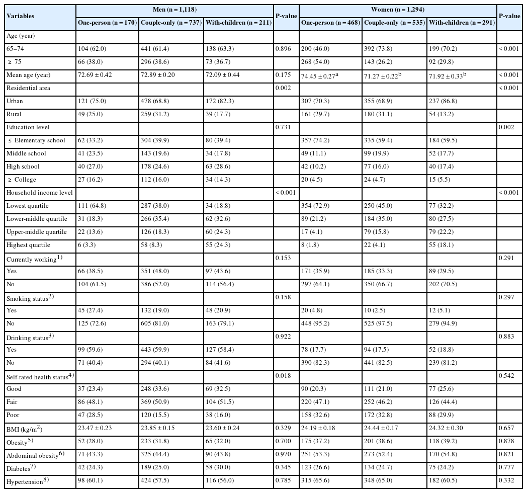
| Variables | Men (n = 1,118) | P-value | Women (n = 1,294) | P-value | ||||
|---|---|---|---|---|---|---|---|---|
| One-person (n = 170) | Couple-only (n = 737) | With-children (n = 211) | One-person (n = 468) | Couple-only (n = 535) | With-children (n = 291) | |||
| Age (year) | ||||||||
| 65–74 | 104 (62.0) | 441 (61.4) | 138 (63.3) | 0.896 | 200 (46.0) | 392 (73.8) | 199 (70.2) | < 0.001 |
| ≥ 75 | 66 (38.0) | 296 (38.6) | 73 (36.7) | 268 (54.0) | 143 (26.2) | 92 (29.8) | ||
| Mean age (year) | 72.69 ± 0.42 | 72.89 ± 0.20 | 72.09 ± 0.44 | 0.175 | 74.45 ± 0.27a | 71.27 ± 0.22b | 71.92 ± 0.33b | < 0.001 |
| Residential area | 0.002 | < 0.001 | ||||||
| Urban | 121 (75.0) | 478 (68.8) | 172 (82.3) | 307 (70.3) | 355 (68.9) | 237 (86.8) | ||
| Rural | 49 (25.0) | 259 (31.2) | 39 (17.7) | 161 (29.7) | 180 (31.1) | 54 (13.2) | ||
| Education level | 0.731 | 0.002 | ||||||
| ≤ Elementary school | 62 (33.2) | 304 (39.9) | 80 (39.4) | 357 (74.2) | 335 (59.4) | 184 (59.5) | ||
| Middle school | 41 (23.5) | 143 (19.6) | 34 (17.8) | 49 (11.1) | 99 (19.9) | 52 (17.7) | ||
| High school | 40 (27.0) | 178 (24.6) | 63 (28.6) | 42 (10.2) | 77 (16.0) | 40 (17.4) | ||
| ≥ College | 27 (16.2) | 112 (16.0) | 34 (14.3) | 20 (4.5) | 24 (4.7) | 15 (5.5) | ||
| Household income level | < 0.001 | < 0.001 | ||||||
| Lowest quartile | 111 (64.8) | 287 (38.0) | 34 (18.8) | 354 (72.9) | 250 (45.0) | 77 (32.2) | ||
| Lower-middle quartile | 31 (18.3) | 266 (35.4) | 62 (32.6) | 89 (21.2) | 184 (35.0) | 80 (27.5) | ||
| Upper-middle quartile | 22 (13.6) | 126 (18.3) | 60 (24.3) | 17 (4.1) | 79 (15.8) | 79 (22.2) | ||
| Highest quartile | 6 (3.3) | 58 (8.3) | 55 (24.3) | 8 (1.8) | 22 (4.1) | 55 (18.1) | ||
| Currently working1) | 0.153 | 0.291 | ||||||
| Yes | 66 (38.5) | 351 (48.0) | 97 (43.6) | 171 (35.9) | 185 (33.3) | 89 (29.5) | ||
| No | 104 (61.5) | 386 (52.0) | 114 (56.4) | 297 (64.1) | 350 (66.7) | 202 (70.5) | ||
| Smoking status2) | 0.158 | 0.297 | ||||||
| Yes | 45 (27.4) | 132 (19.0) | 48 (20.9) | 20 (4.8) | 10 (2.5) | 12 (5.1) | ||
| No | 125 (72.6) | 605 (81.0) | 163 (79.1) | 448 (95.2) | 525 (97.5) | 279 (94.9) | ||
| Drinking status3) | 0.922 | 0.883 | ||||||
| Yes | 99 (59.6) | 443 (59.9) | 127 (58.4) | 78 (17.7) | 94 (17.5) | 52 (18.8) | ||
| No | 71 (40.4) | 294 (40.1) | 84 (41.6) | 390 (82.3) | 441 (82.5) | 239 (81.2) | ||
| Self-rated health status4) | 0.018 | 0.542 | ||||||
| Good | 37 (23.4) | 248 (33.6) | 69 (32.5) | 90 (20.3) | 111 (21.0) | 77 (25.6) | ||
| Fair | 86 (48.1) | 369 (50.9) | 104 (51.5) | 220 (47.1) | 252 (46.2) | 126 (44.4) | ||
| Poor | 47 (28.5) | 120 (15.5) | 38 (16.0) | 158 (32.6) | 172 (32.8) | 88 (29.9) | ||
| BMI (kg/m2) | 23.47 ± 0.23 | 23.85 ± 0.15 | 23.60 ± 0.24 | 0.329 | 24.19 ± 0.18 | 24.44 ± 0.17 | 24.32 ± 0.30 | 0.657 |
| Obesity5) | 52 (28.0) | 233 (31.8) | 65 (32.0) | 0.700 | 175 (37.2) | 201 (38.6) | 118 (39.2) | 0.878 |
| Abdominal obesity6) | 71 (43.3) | 325 (44.4) | 90 (43.8) | 0.970 | 251 (53.3) | 273 (52.4) | 170 (54.8) | 0.821 |
| Diabetes7) | 42 (24.3) | 189 (25.0) | 58 (30.0) | 0.345 | 123 (26.6) | 134 (24.7) | 75 (24.2) | 0.777 |
| Hypertension8) | 98 (60.1) | 424 (57.5) | 116 (56.0) | 0.785 | 315 (65.6) | 348 (65.0) | 182 (60.5) | 0.332 |
n (weighted %) or weighted mean ± SE.
Statistical analysis: Values were obtained using the general linear model for continuous variables and the χ2 test for categorical variables in complex sample survey data analysis (P < 0.05).
BMI, body mass index.
1)Currently working: “Yes” = currently employed; “No” = unemployed or economically inactive individuals.
2)Smoking status: “Yes” = current smoker; “No” = former smoker or never smoker.
3)Drinking status: “Yes” = consumed alcohol at least once a month in the past year; “No” = lifetime abstainer or consumed less than once a month.
4)Self-rated health status: “Good” = very good or good, “Fair” = fair, “Poor” = poor or very poor.
5)Obesity: defined as BMI ≥ 25 kg/m2.
6)Abdominal obesity: defined as a waist circumference ≥ 90 cm for men and ≥ 85 cm for women.
7)Diabetes: defined as fasting plasma glucose (FPG) ≥ 126 mg/dL, HbA1c ≥ 6.5%, or current use of antidiabetic medication.
8)Hypertension: defined as systolic blood pressure ≥ 140 mmHg, diastolic blood pressure ≥ 90 mmHg, or current use of antihypertensive medication.
a,bValues are significantly different according to the Bonferroni post hoc test (P < 0.05).
| Variables | Men (n = 1,118) | P-value | Women (n = 1,294) | P-value | ||||
|---|---|---|---|---|---|---|---|---|
| One-person (n = 170) | Couple-only (n = 737) | With-children (n = 211) | One-person (n = 468) | Couple-only (n = 535) | With-children (n = 291) | |||
| Breakfast skipping status | < 0.001 | < 0.001 | ||||||
| Yes | 17 (10.2) | 22 (2.8) | 11 (3.5) | 26 (5.7) | 19 (3.6) | 32 (11.8) | ||
| No | 153 (89.8) | 715 (97.2) | 200 (96.5) | 442 (94.3) | 516 (96.4) | 259 (88.2) | ||
| Lunch skipping status | 0.008 | 0.062 | ||||||
| Yes | 22 (12.0) | 27 (4.5) | 16 (9.4) | 59 (12.9) | 34 (7.6) | 23 (8.4) | ||
| No | 148 (88.0) | 710 (95.5) | 195 (90.6) | 409 (87.1) | 501 (92.4) | 268 (91.6) | ||
| Dinner skipping status | 0.399 | 0.253 | ||||||
| Yes | 5 (3.5) | 15 (1.8) | 3 (1.3) | 32 (7.0) | 24 (4.6) | 10 (4.0) | ||
| No | 165 (96.5) | 722 (98.2) | 208 (98.7) | 436 (93.0) | 511 (95.4) | 281 (96.0) | ||
| Breakfast companionship status1) | < 0.001 | < 0.001 | ||||||
| Yes | 17 (9.4) | 600 (81.0) | 140 (66.3) | 26 (4.8) | 434 (78.5) | 160 (53.8) | ||
| No | 138 (81.4) | 118 (16.4) | 56 (27.6) | 412 (88.3) | 77 (16.6) | 101 (34.5) | ||
| Not applicable | 15 (9.2) | 19 (2.6) | 15 (6.1) | 30 (6.9) | 24 (4.9) | 30 (11.7) | ||
| Lunch companionship status1) | < 0.001 | < 0.001 | ||||||
| Yes | 40 (22.3) | 541 (71.0) | 122 (56.2) | 85 (18.0) | 399 (72.2) | 153 (47.7) | ||
| No | 114 (69.1) | 177 (25.4) | 80 (38.2) | 346 (74.2) | 108 (21.5) | 125 (47.6) | ||
| Not applicable | 16 (8.6) | 19 (3.6) | 9 (5.6) | 37 (7.8) | 28 (6.3) | 13 (4.7) | ||
| Dinner companionship status1) | < 0.001 | < 0.001 | ||||||
| Yes | 22 (11.5) | 663 (90.2) | 165 (78.5) | 37 (7.5) | 477 (87.3) | 197 (65.0) | ||
| No | 146 (86.5) | 67 (8.9) | 46 (21.5) | 418 (90.0) | 51 (11.3) | 92 (33.4) | ||
| Not applicable | 2 (2.0) | 7 (0.9) | 0 (0.0) | 13 (2.6) | 7 (1.4) | 2 (1.6) | ||
| Frequency of eating out | 0.098 | 0.003 | ||||||
| ≥ Once/day | 14 (8.9) | 25 (4.2) | 19 (8.9) | 7 (1.1) | 7 (0.9) | 6 (2.1) | ||
| 5–6 times/week | 14 (8.4) | 71 (10.0) | 23 (8.9) | 23 (5.4) | 15 (2.3) | 14 (4.6) | ||
| 3–4 times/week | 18 (10.3) | 61 (8.0) | 27 (11.9) | 24 (5.2) | 16 (3.1) | 22 (6.9) | ||
| 1–2 times/week | 40 (23.2) | 163 (22.3) | 55 (26.0) | 101 (22.4) | 111 (22.4) | 57 (19.7) | ||
| 1–3 times/month | 48 (28.0) | 282 (37.2) | 54 (28.3) | 133 (28.1) | 217 (40.1) | 119 (40.5) | ||
| < Once/month | 36 (21.2) | 135 (18.2) | 33 (16.1) | 180 (37.7) | 169 (31.3) | 73 (26.2) | ||
| Experience of nutrition education or counseling | 0.671 | 0.159 | ||||||
| Yes | 6 (3.9) | 22 (2.7) | 3 (2.1) | 37 (7.3) | 27 (4.5) | 14 (4.3) | ||
| No | 164 (96.1) | 715 (97.3) | 208 (97.9) | 431 (92.7) | 508 (95.5) | 277 (95.7) | ||
| Dietary supplement use2) | 0.111 | 0.195 | ||||||
| Yes | 90 (51.2) | 425 (59.3) | 117 (52.3) | 297 (65.5) | 361 (70.3) | 183 (64.1) | ||
| No | 80 (48.8) | 312 (40.7) | 94 (47.7) | 171 (34.5) | 174 (29.7) | 108 (35.9) | ||
| Awareness of nutrition labeling | 0.688 | 0.001 | ||||||
| Yes | 74 (45.4) | 318 (44.7) | 88 (41.4) | 154 (37.0) | 251 (49.9) | 139 (50.9) | ||
| No | 96 (54.6) | 419 (55.3) | 123 (58.6) | 314 (63.0) | 284 (50.1) | 152 (49.1) | ||
n (weighted %).
n: unweighted value, %: weighted value.
Statistical analysis: χ2 tests were used for categorical variables in complex sample survey data analysis (P < 0.05).
1)Companionship status: “Yes” = ate the meal with family or others; “No” = ate alone; “Not applicable” = meal frequency was ≤ 2 times per week during the past year.
2)Dietary supplement use: Use of dietary supplements for ≥ 2 weeks during the past year.
| Variables | Men (n = 1,118) | P-value | Women (n = 1,294) | P-value | ||||
|---|---|---|---|---|---|---|---|---|
| One-person (n = 170) | Couple-only (n = 737) | With-children (n = 211) | One-person (n = 468) | Couple-only (n = 535) | With-children (n = 291) | |||
| Energy (kcal) | 1,681.98 ± 52.65b | 1,848.92 ± 23.50a | 1,836.76 ± 49.93ab | 0.033 | 1,373.38 ± 27.84ab | 1,439.42 ± 27.13a | 1,346.75 ± 28.66b | 0.035 |
| Protein (g) | 57.37 ± 2.22b | 66.76 ± 1.15a | 65.43 ± 2.20a | 0.004 | 46.68 ± 1.22ab | 51.37 ± 1.93a | 45.91 ± 1.34b | 0.033 |
| Carbohydrate (g) | 268.36 ± 6.88b | 298.00 ± 3.63a | 292.06 ± 7.28a | 0.003 | 234.59 ± 4.75ab | 246.69 ± 4.22a | 228.66 ± 4.91b | 0.009 |
| Calcium (mg) | 461.38 ± 22.44 | 527.74 ± 12.69 | 534.23 ± 24.61 | 0.051 | 399.12 ± 13.41b | 465.04 ± 13.61a | 403.00 ± 18.00b | 0.002 |
| Sodium (mg) | 3,309.06 ± 176.23 | 3,400.07 ± 71.02 | 3,431.21 ± 133.89 | 0.864 | 2,333.42 ± 71.19b | 2,690.67 ± 88.69a | 2,315.41 ± 97.34b | 0.003 |
| Potassium (mg) | 2,464.25 ± 98.39b | 2,945.25 ± 51.24a | 2,859.41 ± 107.58a | 0.001 | 2,253.29 ± 66.46b | 2,497.07 ± 60.18a | 2,143.53 ± 68.16b | < 0.001 |
| Magnesium (mg) | 285.88 ± 9.60b | 347.19 ± 5.36a | 338.09 ± 11.43a | < 0.001 | 254.97 ± 6.13b | 287.69 ± 7.83a | 244.38 ± 7.11b | < 0.001 |
| Iron (mg) | 8.05 ± 0.47b | 9.98 ± 0.23a | 9.45 ± 0.41ab | 0.004 | 7.04 ± 0.25b | 8.21 ± 0.32a | 6.91 ± 0.26b | 0.003 |
| Zinc (mg) | 9.32 ± 0.39b | 10.94 ± 0.21a | 10.70 ± 0.38a | 0.007 | 7.87 ± 0.20ab | 8.46 ± 0.21a | 7.54 ± 0.23b | 0.006 |
| Vitamin A (μg RAE) | 282.86 ± 22.19b | 352.78 ± 12.30a | 375.35 ± 34.58a | 0.029 | 300.60 ± 15.54 | 350.78 ± 15.68 | 301.33 ± 22.52 | 0.088 |
| Thiamin (mg) | 0.97 ± 0.05 | 1.09 ± 0.02 | 1.07 ± 0.05 | 0.133 | 0.81 ± 0.02b | 0.90 ± 0.02a | 0.81 ± 0.03ab | 0.034 |
| Folate (μg DFE) | 312.20 ± 12.37b | 362.69 ± 6.76a | 354.91 ± 13.73a | 0.012 | 275.85 ± 7.62b | 314.28 ± 8.40a | 255.19 ± 8.37b | < 0.001 |
| Vitamin C (mg) | 62.18 ± 7.13 | 61.33 ± 2.38 | 59.22 ± 4.29 | 0.847 | 56.41 ± 3.66 | 65.56 ± 3.75 | 56.54 ± 4.05 | 0.146 |
| Vitamin B2 (mg) | 1.25 ± 0.06 | 1.39 ± 0.03 | 1.41 ± 0.06 | 0.131 | 1.03 ± 0.03b | 1.16 ± 0.04a | 1.02 ± 0.04b | 0.005 |
| Carbohydrates (%)1) | 64.96 ± 0.88 | 65.87 ± 0.45 | 65.07 ± 0.72 | 0.459 | 69.25 ± 0.57 | 69.63 ± 0.45 | 68.63 ± 0.66 | 0.403 |
| Protein (%)1) | 13.56 ± 0.27 | 14.36 ± 0.15 | 14.14 ± 0.25 | 0.059 | 13.51 ± 0.20 | 13.93 ± 0.19 | 13.48 ± 0.25 | 0.217 |
| Fat (%)1) | 16.21 ± 0.56ab | 16.47 ± 0.27b | 17.79 ± 0.49a | 0.020 | 16.41 ± 0.42 | 15.99 ± 0.33 | 17.28 ± 0.55 | 0.117 |
Mean ± SE.
Statistical analysis: Values were obtained using a general linear model for continuous variables in complex sample survey data analysis (P < 0.05).
1)Carbohydrate (%), protein (%), and fat (%) indicate the percentage contribution of each macronutrient to total daily energy intake, adjusted for total energy intake.
a,bValues are significantly different according to the Bonferroni post hoc test (P < 0.05).
| Variables | Men (n = 1,118) | Women (n = 1,294) | ||||
|---|---|---|---|---|---|---|
| Couple-only (n = 737) | One-person (n = 170) | With-children (n = 211) | Couple-only (n = 535) | One-person (n = 468) | With-children (n = 291) | |
| Energy (kcal)1) | 1.000 (Ref.) | 1.241 (0.820–1.878) | 1.022 (0.701–1.490) | 1.000 (Ref.) | 1.036 (0.742–1.446) | 1.448 (1.004–2.089)* |
| Protein (g) | 1.000 (Ref.) | 1.303 (0.748–2.271) | 0.785 (0.446–1.382) | 1.000 (Ref.) | 1.210 (0.802–1.827) | 1.371 (0.798–2.355) |
| Carbohydrate (g) | - | - | - | 1.000 (Ref.) | 0.957 (0.216–4.234) | 0.377 (0.064–2.201) |
| Calcium (mg) | 1.000 (Ref.) | 1.043 (0.633–1.717) | 0.728 (0.487–1.089) | 1.000 (Ref.) | 1.214 (0.770–1.912) | 1.102 (0.643–1.888) |
| Magnesium (mg) | 1.000 (Ref.) | 1.529 (0.935–2.503) | 1.218 (0.743–1.998) | 1.000 (Ref.) | 1.346 (0.916–1.980) | 2.090 (1.330–3.286)* |
| Iron (mg) | 1.000 (Ref.) | 1.731 (1.083–2.766)* | 1.009 (0.633–1.609) | 1.000 (Ref.) | 1.286 (0.869–1.902) | 1.692 (1.137–2.519)* |
| Zinc (mg) | 1.000 (Ref.) | 2.460 (1.394–4.343)* | 0.813 (0.498–1.325) | 1.000 (Ref.) | 1.475 (0.971–2.239) | 1.902 (1.129–3.204)* |
| Vitamin A (μg RAE) | 1.000 (Ref.) | 1.315 (0.778–2.221) | 0.835 (0.499–1.397) | 1.000 (Ref.) | 0.871 (0.604–1.255) | 1.124 (0.707–1.787) |
| Thiamin (mg) | 1.000 (Ref.) | 1.438 (0.879–2.352) | 1.478 (0.916–2.384) | 1.000 (Ref.) | 1.244 (0.879–1.760) | 1.466 (0.895–2.402) |
| Folate (μg DFE) | 1.000 (Ref.) | 1.170 (0.783–1.751) | 1.070 (0.680–1.682) | 1.000 (Ref.) | 1.625 (1.118–2.363)* | 2.282 (1.470–3.541)* |
| Vitamin C (mg) | 1.000 (Ref.) | 1.135 (0.717–1.799) | 1.276 (0.808–2.015) | 1.000 (Ref.) | 1.039 (0.731–1.476) | 1.158 (0.759–1.769) |
| Vitamin B2 (mg) | 1.000 (Ref.) | 1.311 (0.825–2.084) | 1.047 (0.691–1.588) | 1.000 (Ref.) | 0.962 (0.699–1.324) | 1.396 (0.909–2.144) |
Odds ratios (95% confidence intervals).
Statistical analysis: Values were obtained using logistic regression analysis in complex sample survey data analysis.
Energy intake was adjusted for age, residential area, education level, household income level, economic activity status, self-rated health status, and survey year. Other nutrients were adjusted for age, residential area, education level, household income, economic activity status, self-rated health, total energy intake, and survey year.
Logistic regression could not be performed for carbohydrate intake in men due to a highly skewed response distribution.
EER, estimated energy requirement; EAR, estimated average requirement.
*P < 0.05.
1)Energy intake was assessed based on the EER, as the 2020 Dietary Reference Intakes for Koreans (KDRIs) do not define an EAR for energy.
| Variable | Men (n = 1,118) | P-value | Women (n = 1,294) | P-value | ||||
|---|---|---|---|---|---|---|---|---|
| One-person (n = 170) | Couple-only (n = 737) | With-children (n = 211) | One-person (n = 468) | Couple-only (n = 535) | With-children (n = 291) | |||
| Total KHEI score (0–100) | 60.79 ± 1.02b | 67.20 ± 0.62a | 65.61 ± 0.96a | < 0.001 | 67.14 ± 0.99a | 68.95 ± 0.87a | 65.59 ± 1.22ab | 0.004 |
| Adequacy | ||||||||
| Breakfast (0–10) | 9.04 ± 0.21b | 9.70 ± 0.07a | 9.46 ± 0.16ab | 0.007 | 9.03 ± 0.23b | 9.40 ± 0.18a | 8.79 ± 0.25b | 0.019 |
| Mixed grains (0–5) | 1.58 ± 0.21b | 2.66 ± 0.11a | 2.30 ± 0.19a | < 0.001 | 2.37 ± 0.16 | 2.29 ± 0.15 | 2.06 ± 0.18 | 0.260 |
| Total fruits (0–5) | 1.84 ± 0.19b | 2.52 ± 0.11a | 2.49 ± 0.19a | 0.015 | 3.29 ± 0.18 | 3.40 ± 0.14 | 3.01 ± 0.19 | 0.163 |
| Fresh fruits (0–5) | 1.91 ± 0.21b | 2.67 ± 0.12a | 2.67 ± 0.21a | 0.011 | 3.32 ± 0.19 | 3.43 ± 0.15 | 3.04 ± 0.20 | 0.192 |
| Total vegetables (0–5) | 3.53 ± 0.13 | 3.90 ± 0.07 | 3.87 ± 0.12 | 0.052 | 3.73 ± 0.10b | 3.96 ± 0.10a | 3.72 ± 0.11ab | 0.046 |
| Vegetables, excluding kimchi and pickles (0–5) | 2.78 ± 0.16b | 3.41 ± 0.09a | 3.22 ± 0.13a | 0.002 | 3.78 ± 0.12 | 4.00 ± 0.11 | 3.77 ± 0.11 | 0.127 |
| Meat, fish, eggs, and beans (0–10) | 6.41 ± 0.33b | 7.43 ± 0.17a | 6.84 ± 0.26ab | 0.003 | 7.33 ± 0.25 | 7.63 ± 0.19 | 7.02 ± 0.27 | 0.063 |
| Milk and milk products (0–10) | 2.42 ± 0.41 | 2.90 ± 0.24 | 2.67 ± 0.32 | 0.457 | 4.02 ± 0.36 | 3.91 ± 0.34 | 3.45 ± 0.40 | 0.321 |
| Moderation | ||||||||
| Saturated fatty acid (0–10) | 8.36 ± 0.29 | 8.82 ± 0.17 | 8.64 ± 0.22 | 0.286 | 7.87 ± 0.26b | 8.51 ± 0.20a | 7.83 ± 0.30b | 0.007 |
| Sodium (0–10) | 6.81 ± 0.29 | 6.65 ± 0.16 | 6.60 ± 0.26 | 0.844 | 8.24 ± 0.18a | 7.89 ± 0.19a | 8.43 ± 0.18ab | 0.026 |
| Total sugar (0–10) | 7.33 ± 0.33 | 6.92 ± 0.19 | 7.17 ± 0.28 | 0.449 | 5.66 ± 0.32 | 5.76 ± 0.30 | 5.74 ± 0.33 | 0.946 |
| Energy balance | ||||||||
| Carbohydrate (0–5) | 2.44 ± 0.19 | 2.61 ± 0.13 | 2.82 ± 0.18 | 0.243 | 2.22 ± 0.16 | 2.23 ± 0.14 | 2.35 ± 0.17 | 0.722 |
| Fat (0–5) | 3.38 ± 0.17 | 3.44 ± 0.12 | 3.69 ± 0.17 | 0.241 | 3.13 ± 0.16 | 3.15 ± 0.14 | 2.98 ± 0.17 | 0.565 |
| Total energy (0–5) | 2.97 ± 0.22b | 3.56 ± 0.12a | 3.19 ± 0.17ab | 0.013 | 3.16 ± 0.17 | 3.38 ± 0.15 | 3.41 ± 0.21 | 0.411 |
Mean ± SE.
Statistical analysis: Values were obtained using the general linear model for continuous variables in complex sample survey data analysis (P < 0.05).
All variables were adjusted for age, residential area, education level, household income, economic activity status, self-rated health, and survey year.
KHEI, Korean Healthy Eating Index.
a,bValues are significantly different according to the Bonferroni post hoc test (P < 0.05).
| Variables | Men (n = 1,118) | P-value | Women (n = 1,294) | P-value | ||||
|---|---|---|---|---|---|---|---|---|
| One-person (n = 170) | Couple-only (n = 737) | With-children (n = 211) | One-person (n = 468) | Couple-only (n = 535) | With-children (n = 291) | |||
| Age (year) | ||||||||
| 65–74 | 104 (62.0) | 441 (61.4) | 138 (63.3) | 0.896 | 200 (46.0) | 392 (73.8) | 199 (70.2) | < 0.001 |
| ≥ 75 | 66 (38.0) | 296 (38.6) | 73 (36.7) | 268 (54.0) | 143 (26.2) | 92 (29.8) | ||
| Mean age (year) | 72.69 ± 0.42 | 72.89 ± 0.20 | 72.09 ± 0.44 | 0.175 | 74.45 ± 0.27 |
71.27 ± 0.22 |
71.92 ± 0.33 |
< 0.001 |
| Residential area | 0.002 | < 0.001 | ||||||
| Urban | 121 (75.0) | 478 (68.8) | 172 (82.3) | 307 (70.3) | 355 (68.9) | 237 (86.8) | ||
| Rural | 49 (25.0) | 259 (31.2) | 39 (17.7) | 161 (29.7) | 180 (31.1) | 54 (13.2) | ||
| Education level | 0.731 | 0.002 | ||||||
| ≤ Elementary school | 62 (33.2) | 304 (39.9) | 80 (39.4) | 357 (74.2) | 335 (59.4) | 184 (59.5) | ||
| Middle school | 41 (23.5) | 143 (19.6) | 34 (17.8) | 49 (11.1) | 99 (19.9) | 52 (17.7) | ||
| High school | 40 (27.0) | 178 (24.6) | 63 (28.6) | 42 (10.2) | 77 (16.0) | 40 (17.4) | ||
| ≥ College | 27 (16.2) | 112 (16.0) | 34 (14.3) | 20 (4.5) | 24 (4.7) | 15 (5.5) | ||
| Household income level | < 0.001 | < 0.001 | ||||||
| Lowest quartile | 111 (64.8) | 287 (38.0) | 34 (18.8) | 354 (72.9) | 250 (45.0) | 77 (32.2) | ||
| Lower-middle quartile | 31 (18.3) | 266 (35.4) | 62 (32.6) | 89 (21.2) | 184 (35.0) | 80 (27.5) | ||
| Upper-middle quartile | 22 (13.6) | 126 (18.3) | 60 (24.3) | 17 (4.1) | 79 (15.8) | 79 (22.2) | ||
| Highest quartile | 6 (3.3) | 58 (8.3) | 55 (24.3) | 8 (1.8) | 22 (4.1) | 55 (18.1) | ||
| Currently working |
0.153 | 0.291 | ||||||
| Yes | 66 (38.5) | 351 (48.0) | 97 (43.6) | 171 (35.9) | 185 (33.3) | 89 (29.5) | ||
| No | 104 (61.5) | 386 (52.0) | 114 (56.4) | 297 (64.1) | 350 (66.7) | 202 (70.5) | ||
| Smoking status |
0.158 | 0.297 | ||||||
| Yes | 45 (27.4) | 132 (19.0) | 48 (20.9) | 20 (4.8) | 10 (2.5) | 12 (5.1) | ||
| No | 125 (72.6) | 605 (81.0) | 163 (79.1) | 448 (95.2) | 525 (97.5) | 279 (94.9) | ||
| Drinking status |
0.922 | 0.883 | ||||||
| Yes | 99 (59.6) | 443 (59.9) | 127 (58.4) | 78 (17.7) | 94 (17.5) | 52 (18.8) | ||
| No | 71 (40.4) | 294 (40.1) | 84 (41.6) | 390 (82.3) | 441 (82.5) | 239 (81.2) | ||
| Self-rated health status |
0.018 | 0.542 | ||||||
| Good | 37 (23.4) | 248 (33.6) | 69 (32.5) | 90 (20.3) | 111 (21.0) | 77 (25.6) | ||
| Fair | 86 (48.1) | 369 (50.9) | 104 (51.5) | 220 (47.1) | 252 (46.2) | 126 (44.4) | ||
| Poor | 47 (28.5) | 120 (15.5) | 38 (16.0) | 158 (32.6) | 172 (32.8) | 88 (29.9) | ||
| BMI (kg/m2) | 23.47 ± 0.23 | 23.85 ± 0.15 | 23.60 ± 0.24 | 0.329 | 24.19 ± 0.18 | 24.44 ± 0.17 | 24.32 ± 0.30 | 0.657 |
| Obesity |
52 (28.0) | 233 (31.8) | 65 (32.0) | 0.700 | 175 (37.2) | 201 (38.6) | 118 (39.2) | 0.878 |
| Abdominal obesity |
71 (43.3) | 325 (44.4) | 90 (43.8) | 0.970 | 251 (53.3) | 273 (52.4) | 170 (54.8) | 0.821 |
| Diabetes |
42 (24.3) | 189 (25.0) | 58 (30.0) | 0.345 | 123 (26.6) | 134 (24.7) | 75 (24.2) | 0.777 |
| Hypertension |
98 (60.1) | 424 (57.5) | 116 (56.0) | 0.785 | 315 (65.6) | 348 (65.0) | 182 (60.5) | 0.332 |
| Variables | Men (n = 1,118) | P-value | Women (n = 1,294) | P-value | ||||
|---|---|---|---|---|---|---|---|---|
| One-person (n = 170) | Couple-only (n = 737) | With-children (n = 211) | One-person (n = 468) | Couple-only (n = 535) | With-children (n = 291) | |||
| Breakfast skipping status | < 0.001 | < 0.001 | ||||||
| Yes | 17 (10.2) | 22 (2.8) | 11 (3.5) | 26 (5.7) | 19 (3.6) | 32 (11.8) | ||
| No | 153 (89.8) | 715 (97.2) | 200 (96.5) | 442 (94.3) | 516 (96.4) | 259 (88.2) | ||
| Lunch skipping status | 0.008 | 0.062 | ||||||
| Yes | 22 (12.0) | 27 (4.5) | 16 (9.4) | 59 (12.9) | 34 (7.6) | 23 (8.4) | ||
| No | 148 (88.0) | 710 (95.5) | 195 (90.6) | 409 (87.1) | 501 (92.4) | 268 (91.6) | ||
| Dinner skipping status | 0.399 | 0.253 | ||||||
| Yes | 5 (3.5) | 15 (1.8) | 3 (1.3) | 32 (7.0) | 24 (4.6) | 10 (4.0) | ||
| No | 165 (96.5) | 722 (98.2) | 208 (98.7) | 436 (93.0) | 511 (95.4) | 281 (96.0) | ||
| Breakfast companionship status |
< 0.001 | < 0.001 | ||||||
| Yes | 17 (9.4) | 600 (81.0) | 140 (66.3) | 26 (4.8) | 434 (78.5) | 160 (53.8) | ||
| No | 138 (81.4) | 118 (16.4) | 56 (27.6) | 412 (88.3) | 77 (16.6) | 101 (34.5) | ||
| Not applicable | 15 (9.2) | 19 (2.6) | 15 (6.1) | 30 (6.9) | 24 (4.9) | 30 (11.7) | ||
| Lunch companionship status |
< 0.001 | < 0.001 | ||||||
| Yes | 40 (22.3) | 541 (71.0) | 122 (56.2) | 85 (18.0) | 399 (72.2) | 153 (47.7) | ||
| No | 114 (69.1) | 177 (25.4) | 80 (38.2) | 346 (74.2) | 108 (21.5) | 125 (47.6) | ||
| Not applicable | 16 (8.6) | 19 (3.6) | 9 (5.6) | 37 (7.8) | 28 (6.3) | 13 (4.7) | ||
| Dinner companionship status |
< 0.001 | < 0.001 | ||||||
| Yes | 22 (11.5) | 663 (90.2) | 165 (78.5) | 37 (7.5) | 477 (87.3) | 197 (65.0) | ||
| No | 146 (86.5) | 67 (8.9) | 46 (21.5) | 418 (90.0) | 51 (11.3) | 92 (33.4) | ||
| Not applicable | 2 (2.0) | 7 (0.9) | 0 (0.0) | 13 (2.6) | 7 (1.4) | 2 (1.6) | ||
| Frequency of eating out | 0.098 | 0.003 | ||||||
| ≥ Once/day | 14 (8.9) | 25 (4.2) | 19 (8.9) | 7 (1.1) | 7 (0.9) | 6 (2.1) | ||
| 5–6 times/week | 14 (8.4) | 71 (10.0) | 23 (8.9) | 23 (5.4) | 15 (2.3) | 14 (4.6) | ||
| 3–4 times/week | 18 (10.3) | 61 (8.0) | 27 (11.9) | 24 (5.2) | 16 (3.1) | 22 (6.9) | ||
| 1–2 times/week | 40 (23.2) | 163 (22.3) | 55 (26.0) | 101 (22.4) | 111 (22.4) | 57 (19.7) | ||
| 1–3 times/month | 48 (28.0) | 282 (37.2) | 54 (28.3) | 133 (28.1) | 217 (40.1) | 119 (40.5) | ||
| < Once/month | 36 (21.2) | 135 (18.2) | 33 (16.1) | 180 (37.7) | 169 (31.3) | 73 (26.2) | ||
| Experience of nutrition education or counseling | 0.671 | 0.159 | ||||||
| Yes | 6 (3.9) | 22 (2.7) | 3 (2.1) | 37 (7.3) | 27 (4.5) | 14 (4.3) | ||
| No | 164 (96.1) | 715 (97.3) | 208 (97.9) | 431 (92.7) | 508 (95.5) | 277 (95.7) | ||
| Dietary supplement use |
0.111 | 0.195 | ||||||
| Yes | 90 (51.2) | 425 (59.3) | 117 (52.3) | 297 (65.5) | 361 (70.3) | 183 (64.1) | ||
| No | 80 (48.8) | 312 (40.7) | 94 (47.7) | 171 (34.5) | 174 (29.7) | 108 (35.9) | ||
| Awareness of nutrition labeling | 0.688 | 0.001 | ||||||
| Yes | 74 (45.4) | 318 (44.7) | 88 (41.4) | 154 (37.0) | 251 (49.9) | 139 (50.9) | ||
| No | 96 (54.6) | 419 (55.3) | 123 (58.6) | 314 (63.0) | 284 (50.1) | 152 (49.1) | ||
| Variables | Men (n = 1,118) | P-value | Women (n = 1,294) | P-value | ||||
|---|---|---|---|---|---|---|---|---|
| One-person (n = 170) | Couple-only (n = 737) | With-children (n = 211) | One-person (n = 468) | Couple-only (n = 535) | With-children (n = 291) | |||
| Energy (kcal) | 1,681.98 ± 52.65 |
1,848.92 ± 23.50 |
1,836.76 ± 49.93 |
0.033 | 1,373.38 ± 27.84 |
1,439.42 ± 27.13 |
1,346.75 ± 28.66 |
0.035 |
| Protein (g) | 57.37 ± 2.22 |
66.76 ± 1.15 |
65.43 ± 2.20 |
0.004 | 46.68 ± 1.22 |
51.37 ± 1.93 |
45.91 ± 1.34 |
0.033 |
| Carbohydrate (g) | 268.36 ± 6.88 |
298.00 ± 3.63 |
292.06 ± 7.28 |
0.003 | 234.59 ± 4.75 |
246.69 ± 4.22 |
228.66 ± 4.91 |
0.009 |
| Calcium (mg) | 461.38 ± 22.44 | 527.74 ± 12.69 | 534.23 ± 24.61 | 0.051 | 399.12 ± 13.41 |
465.04 ± 13.61 |
403.00 ± 18.00 |
0.002 |
| Sodium (mg) | 3,309.06 ± 176.23 | 3,400.07 ± 71.02 | 3,431.21 ± 133.89 | 0.864 | 2,333.42 ± 71.19 |
2,690.67 ± 88.69 |
2,315.41 ± 97.34 |
0.003 |
| Potassium (mg) | 2,464.25 ± 98.39 |
2,945.25 ± 51.24 |
2,859.41 ± 107.58 |
0.001 | 2,253.29 ± 66.46 |
2,497.07 ± 60.18 |
2,143.53 ± 68.16 |
< 0.001 |
| Magnesium (mg) | 285.88 ± 9.60 |
347.19 ± 5.36 |
338.09 ± 11.43 |
< 0.001 | 254.97 ± 6.13 |
287.69 ± 7.83 |
244.38 ± 7.11 |
< 0.001 |
| Iron (mg) | 8.05 ± 0.47 |
9.98 ± 0.23 |
9.45 ± 0.41 |
0.004 | 7.04 ± 0.25 |
8.21 ± 0.32 |
6.91 ± 0.26 |
0.003 |
| Zinc (mg) | 9.32 ± 0.39 |
10.94 ± 0.21 |
10.70 ± 0.38 |
0.007 | 7.87 ± 0.20 |
8.46 ± 0.21 |
7.54 ± 0.23 |
0.006 |
| Vitamin A (μg RAE) | 282.86 ± 22.19 |
352.78 ± 12.30 |
375.35 ± 34.58 |
0.029 | 300.60 ± 15.54 | 350.78 ± 15.68 | 301.33 ± 22.52 | 0.088 |
| Thiamin (mg) | 0.97 ± 0.05 | 1.09 ± 0.02 | 1.07 ± 0.05 | 0.133 | 0.81 ± 0.02 |
0.90 ± 0.02 |
0.81 ± 0.03 |
0.034 |
| Folate (μg DFE) | 312.20 ± 12.37 |
362.69 ± 6.76 |
354.91 ± 13.73 |
0.012 | 275.85 ± 7.62 |
314.28 ± 8.40 |
255.19 ± 8.37 |
< 0.001 |
| Vitamin C (mg) | 62.18 ± 7.13 | 61.33 ± 2.38 | 59.22 ± 4.29 | 0.847 | 56.41 ± 3.66 | 65.56 ± 3.75 | 56.54 ± 4.05 | 0.146 |
| Vitamin B2 (mg) | 1.25 ± 0.06 | 1.39 ± 0.03 | 1.41 ± 0.06 | 0.131 | 1.03 ± 0.03 |
1.16 ± 0.04 |
1.02 ± 0.04 |
0.005 |
| Carbohydrates (%) |
64.96 ± 0.88 | 65.87 ± 0.45 | 65.07 ± 0.72 | 0.459 | 69.25 ± 0.57 | 69.63 ± 0.45 | 68.63 ± 0.66 | 0.403 |
| Protein (%) |
13.56 ± 0.27 | 14.36 ± 0.15 | 14.14 ± 0.25 | 0.059 | 13.51 ± 0.20 | 13.93 ± 0.19 | 13.48 ± 0.25 | 0.217 |
| Fat (%) |
16.21 ± 0.56 |
16.47 ± 0.27 |
17.79 ± 0.49 |
0.020 | 16.41 ± 0.42 | 15.99 ± 0.33 | 17.28 ± 0.55 | 0.117 |
| Variables | Men (n = 1,118) | Women (n = 1,294) | ||||
|---|---|---|---|---|---|---|
| Couple-only (n = 737) | One-person (n = 170) | With-children (n = 211) | Couple-only (n = 535) | One-person (n = 468) | With-children (n = 291) | |
| Energy (kcal) |
1.000 (Ref.) | 1.241 (0.820–1.878) | 1.022 (0.701–1.490) | 1.000 (Ref.) | 1.036 (0.742–1.446) | 1.448 (1.004–2.089) |
| Protein (g) | 1.000 (Ref.) | 1.303 (0.748–2.271) | 0.785 (0.446–1.382) | 1.000 (Ref.) | 1.210 (0.802–1.827) | 1.371 (0.798–2.355) |
| Carbohydrate (g) | - | - | - | 1.000 (Ref.) | 0.957 (0.216–4.234) | 0.377 (0.064–2.201) |
| Calcium (mg) | 1.000 (Ref.) | 1.043 (0.633–1.717) | 0.728 (0.487–1.089) | 1.000 (Ref.) | 1.214 (0.770–1.912) | 1.102 (0.643–1.888) |
| Magnesium (mg) | 1.000 (Ref.) | 1.529 (0.935–2.503) | 1.218 (0.743–1.998) | 1.000 (Ref.) | 1.346 (0.916–1.980) | 2.090 (1.330–3.286) |
| Iron (mg) | 1.000 (Ref.) | 1.731 (1.083–2.766) |
1.009 (0.633–1.609) | 1.000 (Ref.) | 1.286 (0.869–1.902) | 1.692 (1.137–2.519) |
| Zinc (mg) | 1.000 (Ref.) | 2.460 (1.394–4.343) |
0.813 (0.498–1.325) | 1.000 (Ref.) | 1.475 (0.971–2.239) | 1.902 (1.129–3.204) |
| Vitamin A (μg RAE) | 1.000 (Ref.) | 1.315 (0.778–2.221) | 0.835 (0.499–1.397) | 1.000 (Ref.) | 0.871 (0.604–1.255) | 1.124 (0.707–1.787) |
| Thiamin (mg) | 1.000 (Ref.) | 1.438 (0.879–2.352) | 1.478 (0.916–2.384) | 1.000 (Ref.) | 1.244 (0.879–1.760) | 1.466 (0.895–2.402) |
| Folate (μg DFE) | 1.000 (Ref.) | 1.170 (0.783–1.751) | 1.070 (0.680–1.682) | 1.000 (Ref.) | 1.625 (1.118–2.363) |
2.282 (1.470–3.541) |
| Vitamin C (mg) | 1.000 (Ref.) | 1.135 (0.717–1.799) | 1.276 (0.808–2.015) | 1.000 (Ref.) | 1.039 (0.731–1.476) | 1.158 (0.759–1.769) |
| Vitamin B2 (mg) | 1.000 (Ref.) | 1.311 (0.825–2.084) | 1.047 (0.691–1.588) | 1.000 (Ref.) | 0.962 (0.699–1.324) | 1.396 (0.909–2.144) |
| Variable | Men (n = 1,118) | P-value | Women (n = 1,294) | P-value | ||||
|---|---|---|---|---|---|---|---|---|
| One-person (n = 170) | Couple-only (n = 737) | With-children (n = 211) | One-person (n = 468) | Couple-only (n = 535) | With-children (n = 291) | |||
| Total KHEI score (0–100) | 60.79 ± 1.02 |
67.20 ± 0.62 |
65.61 ± 0.96 |
< 0.001 | 67.14 ± 0.99 |
68.95 ± 0.87 |
65.59 ± 1.22 |
0.004 |
| Adequacy | ||||||||
| Breakfast (0–10) | 9.04 ± 0.21 |
9.70 ± 0.07 |
9.46 ± 0.16 |
0.007 | 9.03 ± 0.23 |
9.40 ± 0.18 |
8.79 ± 0.25 |
0.019 |
| Mixed grains (0–5) | 1.58 ± 0.21 |
2.66 ± 0.11 |
2.30 ± 0.19 |
< 0.001 | 2.37 ± 0.16 | 2.29 ± 0.15 | 2.06 ± 0.18 | 0.260 |
| Total fruits (0–5) | 1.84 ± 0.19 |
2.52 ± 0.11 |
2.49 ± 0.19 |
0.015 | 3.29 ± 0.18 | 3.40 ± 0.14 | 3.01 ± 0.19 | 0.163 |
| Fresh fruits (0–5) | 1.91 ± 0.21 |
2.67 ± 0.12 |
2.67 ± 0.21 |
0.011 | 3.32 ± 0.19 | 3.43 ± 0.15 | 3.04 ± 0.20 | 0.192 |
| Total vegetables (0–5) | 3.53 ± 0.13 | 3.90 ± 0.07 | 3.87 ± 0.12 | 0.052 | 3.73 ± 0.10 |
3.96 ± 0.10 |
3.72 ± 0.11 |
0.046 |
| Vegetables, excluding kimchi and pickles (0–5) | 2.78 ± 0.16 |
3.41 ± 0.09 |
3.22 ± 0.13 |
0.002 | 3.78 ± 0.12 | 4.00 ± 0.11 | 3.77 ± 0.11 | 0.127 |
| Meat, fish, eggs, and beans (0–10) | 6.41 ± 0.33 |
7.43 ± 0.17 |
6.84 ± 0.26 |
0.003 | 7.33 ± 0.25 | 7.63 ± 0.19 | 7.02 ± 0.27 | 0.063 |
| Milk and milk products (0–10) | 2.42 ± 0.41 | 2.90 ± 0.24 | 2.67 ± 0.32 | 0.457 | 4.02 ± 0.36 | 3.91 ± 0.34 | 3.45 ± 0.40 | 0.321 |
| Moderation | ||||||||
| Saturated fatty acid (0–10) | 8.36 ± 0.29 | 8.82 ± 0.17 | 8.64 ± 0.22 | 0.286 | 7.87 ± 0.26 |
8.51 ± 0.20 |
7.83 ± 0.30 |
0.007 |
| Sodium (0–10) | 6.81 ± 0.29 | 6.65 ± 0.16 | 6.60 ± 0.26 | 0.844 | 8.24 ± 0.18 |
7.89 ± 0.19 |
8.43 ± 0.18 |
0.026 |
| Total sugar (0–10) | 7.33 ± 0.33 | 6.92 ± 0.19 | 7.17 ± 0.28 | 0.449 | 5.66 ± 0.32 | 5.76 ± 0.30 | 5.74 ± 0.33 | 0.946 |
| Energy balance | ||||||||
| Carbohydrate (0–5) | 2.44 ± 0.19 | 2.61 ± 0.13 | 2.82 ± 0.18 | 0.243 | 2.22 ± 0.16 | 2.23 ± 0.14 | 2.35 ± 0.17 | 0.722 |
| Fat (0–5) | 3.38 ± 0.17 | 3.44 ± 0.12 | 3.69 ± 0.17 | 0.241 | 3.13 ± 0.16 | 3.15 ± 0.14 | 2.98 ± 0.17 | 0.565 |
| Total energy (0–5) | 2.97 ± 0.22 |
3.56 ± 0.12 |
3.19 ± 0.17 |
0.013 | 3.16 ± 0.17 | 3.38 ± 0.15 | 3.41 ± 0.21 | 0.411 |
n (weighted %) or weighted mean ± SE. Statistical analysis: Values were obtained using the general linear model for continuous variables and the BMI, body mass index. Currently working: “Yes” = currently employed; “No” = unemployed or economically inactive individuals. Smoking status: “Yes” = current smoker; “No” = former smoker or never smoker. Drinking status: “Yes” = consumed alcohol at least once a month in the past year; “No” = lifetime abstainer or consumed less than once a month. Self-rated health status: “Good” = very good or good, “Fair” = fair, “Poor” = poor or very poor. Obesity: defined as BMI ≥ 25 kg/m2. Abdominal obesity: defined as a waist circumference ≥ 90 cm for men and ≥ 85 cm for women. Diabetes: defined as fasting plasma glucose (FPG) ≥ 126 mg/dL, HbA1c ≥ 6.5%, or current use of antidiabetic medication. Hypertension: defined as systolic blood pressure ≥ 140 mmHg, diastolic blood pressure ≥ 90 mmHg, or current use of antihypertensive medication. Values are significantly different according to the Bonferroni post hoc test (
n (weighted %). n: unweighted value, %: weighted value. Statistical analysis: Companionship status: “Yes” = ate the meal with family or others; “No” = ate alone; “Not applicable” = meal frequency was ≤ 2 times per week during the past year. Dietary supplement use: Use of dietary supplements for ≥ 2 weeks during the past year.
Mean ± SE. Statistical analysis: Values were obtained using a general linear model for continuous variables in complex sample survey data analysis ( Carbohydrate (%), protein (%), and fat (%) indicate the percentage contribution of each macronutrient to total daily energy intake, adjusted for total energy intake. Values are significantly different according to the Bonferroni post hoc test (
Odds ratios (95% confidence intervals). Statistical analysis: Values were obtained using logistic regression analysis in complex sample survey data analysis. Energy intake was adjusted for age, residential area, education level, household income level, economic activity status, self-rated health status, and survey year. Other nutrients were adjusted for age, residential area, education level, household income, economic activity status, self-rated health, total energy intake, and survey year. Logistic regression could not be performed for carbohydrate intake in men due to a highly skewed response distribution. EER, estimated energy requirement; EAR, estimated average requirement. Energy intake was assessed based on the EER, as the 2020 Dietary Reference Intakes for Koreans (KDRIs) do not define an EAR for energy.
Mean ± SE. Statistical analysis: Values were obtained using the general linear model for continuous variables in complex sample survey data analysis ( All variables were adjusted for age, residential area, education level, household income, economic activity status, self-rated health, and survey year. KHEI, Korean Healthy Eating Index. Values are significantly different according to the Bonferroni post hoc test (
