, 김지현2)
, 한진숙3),†
, Ji-hyeon Kim2)
, Jin-suk Han3),†
1)동의과학대학교 간호학과 교수
2)푸디스트㈜ FS동부사업부 주임
3)동의과학대학교 베이커리카페산업과 교수
1)Professor, Department of Nursing, Dong-Eui Institute of Technology, Busan, Korea
2)Assistant Manager, FS Dongbu Division, Foodist Co., Ltd., Seoul, Korea
3)Professor, Department of Bakery & Cafe Industry, Dong-Eui Institute of Technology, Busan, Korea
© 2026 The Korean Society of Community Nutrition
This is an Open-Access article distributed under the terms of the Creative Commons Attribution Non-Commercial License (https://creativecommons.org/licenses/by-nc/4.0) which permits unrestricted non-commercial use, distribution, and reproduction in any medium, provided the original work is properly cited.
CONFLICT OF INTEREST
There are no financial or other issues that might lead to conflicts of interest.
FUNDING
This work was supported by the 2024 Senior-Friendly Food Pilot Project, funded by the Korea Food Industry Cluster Promotion Agency.
DATA AVAILABILITY
The datasets generated and analyzed during the current study are available from the corresponding author upon reasonable request. Requests for data access may be directed to the following email address: hanmiky@dit.ac.kr
| Characteristics | Total (n = 71) | Intervention (n = 53) | Control (n = 18) | P-value1) |
|---|---|---|---|---|
| Sex, women | 71 (100.0) | 53 (100.0) | 18 (100.0) | |
| Age (year) | 79.08 ± 5.89 | 77.47 ± 5.56 | 80.70 ± 4.89 | 0.157 |
| Marital status | 0.088 | |||
| Married | 12 (16.9) | 11 (20.8) | 1 (5.6) | |
| Widowed | 58 (81.7) | 41 (77.4) | 17 (94.4) | |
| Divorced | 1 (1.4) | 1 (1.8) | 0(0.0) | |
| Living arrangement | 0.235 | |||
| Alone | 60 (84.5) | 42 (79.2) | 18 (100.0) | |
| With spouse | 11 (15.5) | 11 (20.8) | 0 (0.0) | |
| Monthly income (KRW) | 0.265 | |||
| None | 1 (1.4) | 1 (1.9) | 0 (0.0) | |
| < 1 million | 67 (94.4) | 50 (94.3) | 17 (94.4) | |
| > 1 million | 3 (4.2) | 2 (3.8) | 1 (5.6) | |
| Education | 0.601 | |||
| None | 42 (59.1) | 29 (54.7) | 13 (72.2) | |
| Elementary | 26 (36.6) | 21 (39.6) | 5 (27.8) | |
| Middle | 2 (2.8) | 2 (3.8) | 0 (0.0) | |
| High school | 1 (1.4) | 1 (1.9) | 0 (0.0) | |
| Number of diseases | 2.26 ± 1.29 | 2.13 ± 1.16 | 2.39 ± 1.69 | 0.523 |
| Number of medication | 2.45 ± 1.31 | 2.30 ± 1.23 | 2.61 ± 1.54 | 0.250 |
| Physical Health | ||||
| Skeletal muscle mass (kg) | 18.29 ± 2.85 | 18.51 ± 2.55 | 17.62 ± 3.61 | 0.257 |
| Body fat mass (kg) | 18.12 ± 5.38 | 18.43 ± 5.34 | 17.19 ± 5.57 | 0.400 |
| Weight (kg) | 52.96 ± 7.93 | 53.61 ± 8.36 | 51.05 ± 6.33 | 0.239 |
| BMI (kg/m2) | 24.04 ± 2.85 | 23.99 ± 2.93 | 24.17 ± 2.70 | 0.849 |
| Calf circumference (cm) | 30.51 ± 2.38 | 30.80 ± 2.46 | 29.66 ± 1.94 | 0.137 |
| Arm circumference (cm) | 24.54 ± 2.51 | 24.59 ± 2.56 | 24.41 ± 2.41 | 0.871 |
| Physiological Health | ||||
| HbA1c (%) | 6.17 ± 1.02 | 6.02 ± 0.92 | 6.59 ± 1.23 | 0.096 |
| Glucose (mg/dL) | 148.65 ± 49.24 | 153.11 ± 44.95 | 135.50 ± 59.65 | 0.192 |
| Total cholesterol (mg/dL) | 178.30 ± 39.55 | 175.23 ± 38.19 | 187.33 ± 43.17 | 0.265 |
| HDL cholesterol (mg/dL) | 50.69 ± 12.40 | 50.13 ± 11.46 | 52.33 ± 15.08 | 0.519 |
| Triglycerides (mg/dL) | 147.97 ± 77.34 | 148.51 ± 77.64 | 146.39 ± 78.67 | 0.921 |
| SBP (mmHg) | 136.61 ± 14.97 | 135.72 ± 15.47 | 139.22 ± 13.43 | 0.395 |
| DBP (mmHg) | 75.07 ± 10.16 | 75.04 ± 10.65 | 75.17 ± 8.82 | 0.963 |
| Emotional health | ||||
| Loneliness | 17.04 ± 6.77 | 16.21 ± 5.96 | 19.10 ± 8.32 | 0.103 |
| Resilience | 53.03 ± 10.41 | 55.13 ± 10.22 | 50.94 ± 11.68 | 0.084 |
| Depression | 5.94 ± 1.71 | 5.45 ± 1.29 | 6.44 ± 2.17 | 0.082 |
| Social support | 47.30 ± 8.28 | 47.72 ± 7.74 | 46.89 ± 8.68 | 0.705 |
| Quality of life | 8.19 ± 3.02 | 7.83 ± 2.67 | 8.56 ± 4.06 | 0.390 |
| KOHIP-14 | 32.32 ± 11.88 | 32.32 ± 11.55 | 32.50 ± 13.02 | 0.922 |
| DHI | 7.75 ± 10.48 | 6.91 ± 9.84 | 8.00 ± 7.82 | 0.670 |
| MNA | 23.65 ± 3.29 | 23.97 ± 3.34 | 23.33 ± 2.68 | 0.465 |
| NQ-E | 49.38 ± 6.12 | 49.23 ± 6.34 | 49.61 ± 5.54 | 0.819 |
n (%) or Mean ± SD.
BMI, body mass index; HbA1c, hemoglobin A1c; HDL, high-density lipoprotein; SBP, systolic blood pressure; DBP, diastolic blood pressure; KOHIP-14, Korea Oral Health Impact Profile-14; DHI, Dysphagia Handicap Index; MNA, Mini Nutrition Assessment; NQ-E, Nutrition Quotient-Elderly.
1)P-values from t-test and Chi-square tests.
| Physiological health | Pre-int. | Post-int. | 2 Months after-int. | Within-subject effects | ||
|---|---|---|---|---|---|---|
| Time | Group | Group × time | ||||
| HbA1c (%)1) | 0.612 | 0.462 | < 0.001 | |||
| Int. | 6.58 ± 1.16 | 6.39 ± 0.73 | 6.28 ± 0.82 | |||
| Con. | 6.59 ± 1.23 | 6.39 ± 0.77 | 6.31 ± 0.85 | |||
| Glucose (mg/dL) | 0.271 | 0.301 | 0.321 | |||
| Int. | 153.11 ± 44.95 | 141.47 ± 42.03 | 141.81 ± 46.38 | |||
| Con. | 135.50 ± 59.65 | 127.11 ± 35.51 | 142.56 ± 50.32 | |||
| Total cholesterol (mg/dL) | 0.062 | 0.624 | 0.242 | |||
| Int. | 175.23 ± 38.19 | 175.93 ± 34.97 | 169.29 ± 38.73 | |||
| Con. | 187.33 ± 43.17 | 173.83 ± 39.19 | 172.94 ± 33.43 | |||
| HDL (mg/dL) | < 0.001 | 0.900 | 0.231 | |||
| Int. | 50.13 ± 11.46 | 46.57 ± 11.33 | 43.30 ± 9.90 | |||
| Con. | 52.33 ± 15.08 | 45.11 ± 11.65 | 41.50 ± 12.37 | |||
| Triglycerides (mg/dL) | 0.351 | 0.781 | 0.811 | |||
| Int. | 148.51 ± 77.64 | 149.06 ± 74.94 | 137.14 ± 60.01 | |||
| Con. | 146.39 ± 78.67 | 161.44 ± 112.94 | 140.72 ± 87.73 | |||
| SBP (mmHg)1) | 0.341 | 0.461 | 0.791 | |||
| Int. | 135.72 ± 15.47 | 137.58 ± 17.33 | 131.36 ± 28.49 | |||
| Con. | 139.22 ± 13.43 | 138.00 ± 9.02 | 135.94 ± 10.09 | |||
| DBP (mmHg)1) | 0.222 | 0.541 | 0.441 | |||
| Int. | 75.04 ± 10.65 | 75.08 ± 9.24 | 74.11 ± 10.74 | |||
| Con. | 75.17 ± 8.82 | 72.44 ± 8.94 | 72.28 ± 6.47 | |||
| Item | Description |
|---|---|
| Target population | Community-dwelling elderly woman |
| Meal plan format | Four-week cycle menu (designed so that senior-friendly foods are provided at least three times per week) |
| Meal composition | Steamed rice and soup, four side dishes (1 main dish, 2 side dishes, 1 type of kimchi) + snack |
| Special meals; | |
| - Wednesday: “Energy boost day” | |
| - Saturday: “Gourmet day” | |
| Nutritional standards | Based on 2020 Dietary Reference Intakes for Koreans (KDRIs) |
| For women aged 75 years and older, providing at least 50% of the recommended daily intake | |
| Lunch: 600–700 kcal, protein 20–30 g | |
| Snack: 130–150 kcal | |
| Meal cost | Regular meal: KRW 4,508 per meal |
| Food package: KRW 20,000 per package |
| Characteristics | Total (n = 71) | Intervention (n = 53) | Control (n = 18) | P-value |
|---|---|---|---|---|
| Sex, women | 71 (100.0) | 53 (100.0) | 18 (100.0) | |
| Age (year) | 79.08 ± 5.89 | 77.47 ± 5.56 | 80.70 ± 4.89 | 0.157 |
| Marital status | 0.088 | |||
| Married | 12 (16.9) | 11 (20.8) | 1 (5.6) | |
| Widowed | 58 (81.7) | 41 (77.4) | 17 (94.4) | |
| Divorced | 1 (1.4) | 1 (1.8) | 0(0.0) | |
| Living arrangement | 0.235 | |||
| Alone | 60 (84.5) | 42 (79.2) | 18 (100.0) | |
| With spouse | 11 (15.5) | 11 (20.8) | 0 (0.0) | |
| Monthly income (KRW) | 0.265 | |||
| None | 1 (1.4) | 1 (1.9) | 0 (0.0) | |
| < 1 million | 67 (94.4) | 50 (94.3) | 17 (94.4) | |
| > 1 million | 3 (4.2) | 2 (3.8) | 1 (5.6) | |
| Education | 0.601 | |||
| None | 42 (59.1) | 29 (54.7) | 13 (72.2) | |
| Elementary | 26 (36.6) | 21 (39.6) | 5 (27.8) | |
| Middle | 2 (2.8) | 2 (3.8) | 0 (0.0) | |
| High school | 1 (1.4) | 1 (1.9) | 0 (0.0) | |
| Number of diseases | 2.26 ± 1.29 | 2.13 ± 1.16 | 2.39 ± 1.69 | 0.523 |
| Number of medication | 2.45 ± 1.31 | 2.30 ± 1.23 | 2.61 ± 1.54 | 0.250 |
| Physical Health | ||||
| Skeletal muscle mass (kg) | 18.29 ± 2.85 | 18.51 ± 2.55 | 17.62 ± 3.61 | 0.257 |
| Body fat mass (kg) | 18.12 ± 5.38 | 18.43 ± 5.34 | 17.19 ± 5.57 | 0.400 |
| Weight (kg) | 52.96 ± 7.93 | 53.61 ± 8.36 | 51.05 ± 6.33 | 0.239 |
| BMI (kg/m2) | 24.04 ± 2.85 | 23.99 ± 2.93 | 24.17 ± 2.70 | 0.849 |
| Calf circumference (cm) | 30.51 ± 2.38 | 30.80 ± 2.46 | 29.66 ± 1.94 | 0.137 |
| Arm circumference (cm) | 24.54 ± 2.51 | 24.59 ± 2.56 | 24.41 ± 2.41 | 0.871 |
| Physiological Health | ||||
| HbA1c (%) | 6.17 ± 1.02 | 6.02 ± 0.92 | 6.59 ± 1.23 | 0.096 |
| Glucose (mg/dL) | 148.65 ± 49.24 | 153.11 ± 44.95 | 135.50 ± 59.65 | 0.192 |
| Total cholesterol (mg/dL) | 178.30 ± 39.55 | 175.23 ± 38.19 | 187.33 ± 43.17 | 0.265 |
| HDL cholesterol (mg/dL) | 50.69 ± 12.40 | 50.13 ± 11.46 | 52.33 ± 15.08 | 0.519 |
| Triglycerides (mg/dL) | 147.97 ± 77.34 | 148.51 ± 77.64 | 146.39 ± 78.67 | 0.921 |
| SBP (mmHg) | 136.61 ± 14.97 | 135.72 ± 15.47 | 139.22 ± 13.43 | 0.395 |
| DBP (mmHg) | 75.07 ± 10.16 | 75.04 ± 10.65 | 75.17 ± 8.82 | 0.963 |
| Emotional health | ||||
| Loneliness | 17.04 ± 6.77 | 16.21 ± 5.96 | 19.10 ± 8.32 | 0.103 |
| Resilience | 53.03 ± 10.41 | 55.13 ± 10.22 | 50.94 ± 11.68 | 0.084 |
| Depression | 5.94 ± 1.71 | 5.45 ± 1.29 | 6.44 ± 2.17 | 0.082 |
| Social support | 47.30 ± 8.28 | 47.72 ± 7.74 | 46.89 ± 8.68 | 0.705 |
| Quality of life | 8.19 ± 3.02 | 7.83 ± 2.67 | 8.56 ± 4.06 | 0.390 |
| KOHIP-14 | 32.32 ± 11.88 | 32.32 ± 11.55 | 32.50 ± 13.02 | 0.922 |
| DHI | 7.75 ± 10.48 | 6.91 ± 9.84 | 8.00 ± 7.82 | 0.670 |
| MNA | 23.65 ± 3.29 | 23.97 ± 3.34 | 23.33 ± 2.68 | 0.465 |
| NQ-E | 49.38 ± 6.12 | 49.23 ± 6.34 | 49.61 ± 5.54 | 0.819 |
| Physical health | Pre-int. | Post-int. | 2 Months after-int. | Within-subject effects | ||
|---|---|---|---|---|---|---|
| Time | Group | Group × time | ||||
| Weight (kg) | 0.614 | 2.764 | 0.535 | |||
| Int. | 53.61 ± 8.36 | 52.82 ± 8.15 | 52.74 ± 8.69 | |||
| Con. | 52.39 ± 9.69 | 51.44 ± 9.68 | 51.28 ± 8.94 | |||
| BMI (kg/m2) | 0.674 | 0.834 | 0.686 | |||
| Int. | 23.99 ± 2.93 | 23.67 ± 2.85 | 23.57 ± 2.67 | |||
| Con. | 24.17 ± 2.70 | 23.78 ± 2.57 | 23.81 ± 2.66 | |||
| Calf circumference (cm) | 0.692 | 0.194 | 0.671 | |||
| Int. | 30.80 ± 2.46 | 31.19 ± 3.09 | 30.29 ± 3.04 | |||
| Con. | 29.66 ± 1.94 | 28.97 ± 2.10 | 29.04 ± 2.29 | |||
| Arm circumference (cm) | 0.687 | 0.744 | 0.534 | |||
| Int. | 24.59 ± 2.56 | 25.21 ± 2.72 | 25.64 ± 2.37 | |||
| Con. | 24.41 ± 2.41 | 22.82 ± 2.26 | 22.85 ± 2.20 | |||
| Skeletal muscle mass | 0.561 | 0.263 | 0.041 | |||
| Int. | 18.51 ± 2.55 | 18.63 ± 2.79 | 18.94 ± 3.14 | |||
| Con. | 17.62 ± 3.61 | 17.63 ± 1.93 | 16.79 ± 2.76 | |||
| Body fat mass | 0.172 | 0.522 | 0.071 | |||
| Int. | 18.43 ± 5.34 | 17.40 ± 5.35 | 17.00 ± 5.47 | |||
| Con. | 17.19 ± 5.57 | 16.36 ± 4.89 | 17.86 ± 5.02 | |||
| Frailty score | 0.113 | 0.172 | 0.884 | |||
| Int. | 9.08 ± 1.96 | 9.45 ± 1.70 | 9.00 ± 2.02 | |||
| Con. | 7.78 ± 1.93 | 8.44 ± 1.98 | 7.83 ± 1.69 | |||
| Frailty | ||||||
| Int. | ||||||
| Normal | 25 (47.2) | 27 (50.9) | 23 (43.4) | |||
| Pre-frailty | 28 (52.8) | 26 (49.1) | 30 (56.6) | |||
| Frailty | 0 (0.0) | 0 (0.0) | 0 (0.0) | |||
| Con. | ||||||
| Normal | 5 (27.8) | 4 (22.2) | 3 (16.7) | |||
| Pre-frailty | 13 (72.2) | 14 (77.8) | 15 (83.3) | |||
| Frailty | 0 (0.0) | 0 (0.0) | 0 (0.0) | |||
| Physiological health | Pre-int. | Post-int. | 2 Months after-int. | Within-subject effects | ||
|---|---|---|---|---|---|---|
| Time | Group | Group × time | ||||
| HbA1c (%) |
0.612 | 0.462 | < 0.001 | |||
| Int. | 6.58 ± 1.16 | 6.39 ± 0.73 | 6.28 ± 0.82 | |||
| Con. | 6.59 ± 1.23 | 6.39 ± 0.77 | 6.31 ± 0.85 | |||
| Glucose (mg/dL) | 0.271 | 0.301 | 0.321 | |||
| Int. | 153.11 ± 44.95 | 141.47 ± 42.03 | 141.81 ± 46.38 | |||
| Con. | 135.50 ± 59.65 | 127.11 ± 35.51 | 142.56 ± 50.32 | |||
| Total cholesterol (mg/dL) | 0.062 | 0.624 | 0.242 | |||
| Int. | 175.23 ± 38.19 | 175.93 ± 34.97 | 169.29 ± 38.73 | |||
| Con. | 187.33 ± 43.17 | 173.83 ± 39.19 | 172.94 ± 33.43 | |||
| HDL (mg/dL) | < 0.001 | 0.900 | 0.231 | |||
| Int. | 50.13 ± 11.46 | 46.57 ± 11.33 | 43.30 ± 9.90 | |||
| Con. | 52.33 ± 15.08 | 45.11 ± 11.65 | 41.50 ± 12.37 | |||
| Triglycerides (mg/dL) | 0.351 | 0.781 | 0.811 | |||
| Int. | 148.51 ± 77.64 | 149.06 ± 74.94 | 137.14 ± 60.01 | |||
| Con. | 146.39 ± 78.67 | 161.44 ± 112.94 | 140.72 ± 87.73 | |||
| SBP (mmHg) |
0.341 | 0.461 | 0.791 | |||
| Int. | 135.72 ± 15.47 | 137.58 ± 17.33 | 131.36 ± 28.49 | |||
| Con. | 139.22 ± 13.43 | 138.00 ± 9.02 | 135.94 ± 10.09 | |||
| DBP (mmHg) |
0.222 | 0.541 | 0.441 | |||
| Int. | 75.04 ± 10.65 | 75.08 ± 9.24 | 74.11 ± 10.74 | |||
| Con. | 75.17 ± 8.82 | 72.44 ± 8.94 | 72.28 ± 6.47 | |||
| Emotional health | Pre-int. | Post-int. | 2 Months after-int. | Within-subject effects | ||
|---|---|---|---|---|---|---|
| Time | Group | Group × time | ||||
| Loneliness | 0.933 | 0.01 | 0.933 | |||
| Int. | 16.21 ± 5.96 | 16.38 ± 6.91 | 16.06 ± 6.66 | |||
| Con. | 19.10 ± 8.32 | 20.33 ± 12.07 | 20.56 ± 10.16 | |||
| Resilience | 0.009 | 0.045 | 0.485 | |||
| Int. | 55.13 ± 10.22 | 56.28 ± 7.06 | 52.49 ± 11.14 | |||
| Con. | 50.94 ± 11.68 | 55.44 ± 9.72 | 47.50 ± 17.25 | |||
| Depression | 0.399 | 0.012 | 0.545 | |||
| Int. | 5.45 ± 1.29 | 5.25 ± 1.02 | 5.57 ± 1.73 | |||
| Normal | 8 (15.1) | 11 (20.7) | 10 (18.9) | |||
| Mild | 44 (83.0) | 42 (79.3) | 43 (81.1) | |||
| Severe | 1 (1.9) | 0 (0.0) | 0 (0.0) | |||
| Con. | 6.44 ± 2.18 | 5.89 ± 1.68 | 5.94 ± 1.89 | |||
| Normal | 2 (10.0) | 2 (15.0) | 2 (10.0) | |||
| Mild | 14 (80.0) | 15 (80.0) | 15 (85.0) | |||
| Severe | 2 (10.0) | 1 (5.0) | 1 (5.0) | |||
| Social support | 0.062 | 0.728 | 0.398 | |||
| Int. | 47.72 ± 7.74 | 48.59 ± 5.47 | 47.23 ± 7.02 | |||
| Con. | 46.89 ± 8.68 | 50.06 ± 9.13 | 45.17 ± 9.73 | |||
| Quality of life | 0.048 | 0.025 | 0.63 | |||
| Int. | 7.83 ± 2.67 | 8.00 ± 2.67 | 6.87 ± 1.79 | |||
| Con. | 8.56 ± 4.06 | 9.28 ± 3.25 | 8.44 ± 2.89 | |||
| Variables | Pre-int. | Post-int. | 2 Months after-int. | Within-subject effects | ||
|---|---|---|---|---|---|---|
| Time | Group | Group × time | ||||
| KOHIP-14 | 0.159 | 0.629 | 0.284 | |||
| Int. | 32.32 ± 11.55 | 28.64 ± 13.93 | 28.98 ± 11.42 | |||
| Con. | 32.00 ± 13.03 | 33.00 ± 12.62 | 29.06 ± 12.45 | |||
| DHI | 0.036 | 0.045 | 0.354 | |||
| Int. | 9.06 ± 9.84 | 6.11 ± 8.92 | 9.17 ± 12.07 | |||
| Con. | 10.40 ± 7.82 | 11.11 ± 15.63 | 14.44 ± 14.84 | |||
| Variables | Pre-int. | Post-int. | 2 Months after-int. | Within-subject effects | ||
|---|---|---|---|---|---|---|
| Time | Group | Group × time | ||||
| MNA | 0.187 | 0.027 | 0.261 | |||
| Int. | 23.97 ± 3.34 | 23.95 ± 3.43 | 23.77 ± 3.78 | |||
| Adequate | 28 (52.8) | 29 (54.7) | 29 (54.7) | |||
| At risk of malnutrition | 23 (43.4) | 22 (41.5) | 21 (39.6) | |||
| Malnutrition | 2 (3.8) | 2 (3.8) | 3 (5.7) | |||
| Con. | 23.44 ± 2.72 | 21.71 ± 3.18 | 21.74 ± 3.85 | |||
| Adequate | 6 (33.33) | 4 (22.22) | 3 (16.67) | |||
| At risk of malnutrition | 11 (61.11) | 12 (66.66) | 12 (66.66) | |||
| Malnutrition | 1 (5.56) | 2 (11.12) | 3 (16.67) | |||
| NQ-E | 0.974 | 0.187 | 0.163 | |||
| Int. | 62.42 ± 7.26 | 67.65 ± 8.94 | 64.68 ± 7.15 | |||
| Good | 27 (50.9) | 38 (71.7) | 34 (64.1) | |||
| Monitoring | 26 (49.1) | 15 (28.3) | 19 (35.9) | |||
| Con. | 57.52 ± 7.78 | 57.64 ± 7.82 | 57.53 ± 7.91 | |||
| Good | 5 (27.78) | 4 (22.22) | 4 (22.22) | |||
| Monitoring | 13 (72.22) | 14 (77.78) | 14 (77.78) | |||
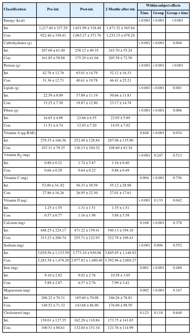
| Classification | Pre-int. | Post-int. | 2 Months after-int. | Within-subject effects | ||
|---|---|---|---|---|---|---|
| Time | Group | Group × time | ||||
| Energy (kcal) | < 0.001 | < 0.001 | < 0.001 | |||
| Int. | 1,217.40 ± 337.29 | 1,651.99 ± 318.48 | 1,471.32 ± 365.84 | |||
| Con. | 922.46 ± 330.41 | 1,063.27 ± 371.76 | 1,232.15 ± 478.24 | |||
| Carbohydrates (g) | < 0.001 | < 0.001 | 0.004 | |||
| Int. | 207.69 ± 61.40 | 258.12 ± 49.35 | 243.70 ± 55.24 | |||
| Con. | 161.85 ± 58.88 | 175.29 ± 61.04 | 205.58 ± 72.50 | |||
| Protein (g) | < 0.001 | < 0.001 | < 0.001 | |||
| Int. | 42.76 ± 12.76 | 63.01 ± 14.79 | 52.12 ± 16.33 | |||
| Con. | 31.36 ± 12.71 | 40.61 ± 19.78 | 46.41 ± 25.21 | |||
| Lipids (g) | < 0.001 | < 0.001 | 0.001 | |||
| Int. | 22.59 ± 9.09 | 37.89 ± 11.19 | 30.66 ± 11.83 | |||
| Con. | 15.25 ± 7.30 | 19.87 ± 12.90 | 23.17 ± 14.78 | |||
| Fibers (g) | < 0.001 | < 0.001 | 0.006 | |||
| Int. | 16.65 ± 4.98 | 22.66 ± 6.55 | 22.05 ± 5.89 | |||
| Con. | 11.51 ± 4.74 | 12.03 ± 7.20 | 14.93 ± 7.02 | |||
| Vitamin A (µg RAE) | 0.848 | < 0.001 | 0.034 | |||
| Int. | 279.35 ± 166.36 | 252.49 ± 128.84 | 287.08 ± 135.90 | |||
| Con. | 107.31 ± 79.35 | 136.13 ± 104.32 | 108.60 ± 83.34 | |||
| Vitamin B2 (mg) | < 0.001 | 0.247 | 0.512 | |||
| Int. | 0.80 ± 0.22 | 1.74 ± 5.87 | 1.16 ± 0.40 | |||
| Con. | 0.66 ± 0.29 | 0.64 ± 0.22 | 0.86 ± 0.49 | |||
| Vitamin C (mg) | 0.904 | < 0.001 | 0.756 | |||
| Int. | 53.00 ± 34 .82 | 56.33 ± 39.59 | 55.12 ± 28.98 | |||
| Con. | 27.86 ± 16.26 | 26.95 ± 22.30 | 27.01 ± 17.61 | |||
| Vitamin D (µg) | < 0.001 | 0.133 | 0.042 | |||
| Int. | 1.25 ± 1.55 | 1.31 ± 1.51 | 1.35 ± 1.51 | |||
| Con. | 0.57 ± 0.77 | 1.16 ± 1.98 | 3.88 ± 5.58 | |||
| Calcium (mg) | 0.168 | < 0.001 | 0.378 | |||
| Int. | 448.25 ± 224.17 | 471.22 ± 159.41 | 540.13 ± 194.10 | |||
| Con. | 313.23 ± 200.74 | 255.71 ± 122.93 | 322.78 ± 199.43 | |||
| Sodium (mg) | < 0.001 | 0.006 | 0.552 | |||
| Int. | 3,029.56 ± 1,133.59 | 3,773.10 ± 930.08 | 3,885.95 ± 1,148.92 | |||
| Con. | 2,283.58 ± 1,478.20 | 2,977.82 ± 1,480.40 | 3,392.96 ± 2,004.27 | |||
| Iron (mg) | 0.001 | < 0.001 | 0.489 | |||
| Int. | 9.10 ± 2.82 | 9.02 ± 2.76 | 10.58 ± 3.05 | |||
| Con. | 5.89 ± 2.87 | 6.57 ± 2.76 | 7.99 ± 3.42 | |||
| Magnesium (mg) | 0.002 | < 0.001 | 0.167 | |||
| Int. | 206.22 ± 70.31 | 185.60 ± 70.08 | 246.26 ± 78.81 | |||
| Con. | 140.52 ± 71.32 | 143.68 ± 86.90 | 176.00 ± 98.50 | |||
| Cholesterol (mg) | 0.123 | 0.118 | 0.640 | |||
| Int. | 139.01 ± 127.35 | 162.28 ± 110.84 | 173.75 ± 141.65 | |||
| Con. | 100.51 ± 88.61 | 132.04 ± 151.34 | 121.76 ± 114.99 | |||
n (%) or Mean ± SD. BMI, body mass index; HbA1c, hemoglobin A1c; HDL, high-density lipoprotein; SBP, systolic blood pressure; DBP, diastolic blood pressure; KOHIP-14, Korea Oral Health Impact Profile-14; DHI, Dysphagia Handicap Index; MNA, Mini Nutrition Assessment; NQ-E, Nutrition Quotient-Elderly.
Mean ± SD or n (%). The Int., intervention; Con., control; BMI, body mass index.
Mean ± SD. The Int., intervention; Con., control; HDL, high-density lipoprotein; SBP, systolic blood pressure; DBP, diastolic blood pressure. Greenhouse–Geisser correction applied.
Mean ± SD or n (%). The Int., intervention; Con., control.
Mean ± SD. The Int., intervention; Con., control; KOHIP-14, Korea Oral Health Impact Profile-14; DHI, Dysphagia Handicap Index.
Mean ± SD or n (%). The Int., intervention; Con., control; MNA, Mini Nutritional Assessment; NQ-E, Nutrition Quotient for Elderly.
Mean ± SD. The Int., intervention; Con., control.
