, Ji-Myung Kim3),†
1)Assistant Professor, Department of Food and Nutrition, Anyang University, Anyang, Korea
2)Director, Institute of Health and Nutrition, Anyang University, Anyang, Korea
3)Associate Professor, Department of Food and Nutritional Science, Shinhan University, Uijeongbu, Korea
© 2025 The Korean Society of Community Nutrition
This is an Open-Access article distributed under the terms of the Creative Commons Attribution Non-Commercial License (http://creativecommons.org/licenses/by-nc/4.0) which permits unrestricted non-commercial use, distribution, and reproduction in any medium, provided the original work is properly cited.
CONFLICT OF INTEREST
The corresponding author, Ji-Myung Kim, serves as Editor-in-Chief of the Korean Journal of Community Nutrition. To mitigate potential conflicts of interest, Ji-Myung Kim abstained from the peer review and editorial decision-making processes for this manuscript, which was handled by an independent editor. The authors declare no conflicts of interest.
FUNDING
None.
DATA AVAILABILITY
Data supporting the findings of this study are openly available from the KNHANES at https://knhanes.kdca.go.kr/knhanes/main.do.
| Variables | Weight maintenance (n = 235) | Weight loss (n = 36) | Weight gain (n = 69) | P-value |
|---|---|---|---|---|
| Age (year) | 61.66 ± 1.00b | 68.32 ± 1.95a | 52.25 ± 1.85c | < 0.001 |
| Time since cancer diagnosis (year) | 12.35 ± 0.48 | 10.86 ± 1.01 | 11.84 ± 0.67 | 0.385 |
| Sex | 0.008 | |||
| Male | 101 (41.83) | 11 (28.20) | 13 (19.86) | |
| Female | 134 (58.17) | 25 (71.80) | 56 (80.14) | |
| Marital status | N/A | |||
| Married | 233 (98.83) | 36 (100) | 65 (90.20) | |
| Single | 2 (1.17) | 0 (0.00) | 4 (9.80) | |
| Region | 0.014 | |||
| Urban | 173 (80.31) | 25 (68.82) | 59 (93.26) | |
| Rural | 62 (19.69) | 11 (31.18) | 10 (6.74) | |
| Household income | 0.506 | |||
| Low | 74 (23.49) | 16 (35.90) | 19 (19.86) | |
| Middle-low | 54 (23.23) | 10 (26.81) | 15 (23.90) | |
| Middle-high | 53 (24.00) | 5 (16.91) | 21 (33.04) | |
| High | 54 (29.27) | 5 (20.38) | 14 (23.21) | |
| Education level | 0.426 | |||
| ≤ Elementary school | 71 (23.74) | 17 (33.71) | 18 (16.85) | |
| Middle school | 30 (10.66) | 6 (18.91) | 9 (16.44) | |
| High school | 74 (34.71) | 7 (22.45) | 22 (29.94) | |
| ≥ College | 60 (30.89) | 6 (24.93) | 20 (36.76) | |
| Smoking | 0.456 | |||
| Non-smoker | 217 (91.24) | 29 (82.87) | 61 (90.12) | |
| Current smoker | 18 (8.76) | 7 (17.13) | 8 (9.88) | |
| Alcohol drinking | 0.312 | |||
| Non drinker | 145 (57.16) | 24 (63.52) | 39 (46.98) | |
| Drinker | 90 (42.84) | 12 (36.48) | 30 (53.02) | |
| Physical activity | 0.809 | |||
| Passive | 146 (60.33) | 26 (66.79) | 41 (62.27) | |
| Active | 89 (39.67) | 10 (33.21) | 28 (37.73) | |
| BMI (kg/m2) | 0.011 | |||
| Obesity degree | 23.68 ± 0.24bc | 22.71 ± 0.57c | 24.95 ± 0.49a | N/A |
| Underweight (< 18.5) | 10 (3.82) | 2(5.97) | 0 (N/A) | |
| Normal (18.5‒22.9) | 100 (42.27) | 20 (46.46) | 17 (31.63) | |
| Overweight (23‒24.9) | 50 (20.58) | 7 (27.27) | 15 (15.22) | |
| Obese (≥ 25) | 75 (33.34) | 7 (20.31) | 37 (53.16) | |
| Range of weight change during the past year (kg)1) | N/A | |||
| < 3 | 235 (100.0) | - | - | |
| 3–5.9 | - | 27 (68.45) | 59 (81.39) | |
| 6–9.9 | - | 6 (24.66) | 8 (13.75) | |
| ≥ 10 | - | 3 (6.89) | 2 (4.86) | |
| Weight control efforts during the past year | 0.052 | |||
| Weight loss effort | 67 (30.68) | 11 (37.76) | 35 (47.90) | |
| Weight maintenance effort | 60 (26.24) | 4 (10.15) | 15 (20.00) | |
| Weight gain effort | 17 (6.80) | 7 (20.05) | 1 (2.38) | |
| No weight control effort | 91 (36.28) | 14 (32.04) | 18 (29.72) |
n (weighted %) or Mean ± SE.
P-values were calculated using the general linear model for continuous variables and the χ2 test for categorical variables in complex sample survey data analysis.
BMI, body mass index; N/A, not applicable.
1)Range of weight change was presented as absolute values.
a-c)Values with different superscript letters differ significantly (P < 0.05, Scheffé’s test).
Mean ± SE.
Adjusted for age and sex.
P-values were calculated using a general linear model for continuous variables in the complex sample survey data analysis.
KHEI, Korean Healthy Eating Index.
a–cMeans with different superscript letters indicate significant differences among groups (P < 0.05) based on Scheffé’s post hoc test.
| Variables | Model | Weight maintenance (n = 235) | Weight loss (n = 36) | Weight gain (n = 69) |
|---|---|---|---|---|
| Metabolic syndrome | 11) | 1.00 | 1.06 (0.64‒1.75) | 1.98 (1.34‒2.93)*** |
| 22) | 1.00 | 1.02 (0.62‒1.68) | 2.07 (1.40‒3.06)*** | |
| Abdominal obesity | 1 | 1.00 | 0.71 (0.39‒1.30) | 1.87 (1.32‒2.64)*** |
| 2 | 1.00 | 0.69 (0.38‒1.28) | 1.93 (1.36‒2.74)*** | |
| High triglyceride | 1 | 1.00 | 1.11 (0.53‒2.32) | 1.13 (0.65‒1.98) |
| 2 | 1.00 | 1.03 (0.51‒2.09) | 1.20 (0.69‒2.09) | |
| Low HDL-C | 1 | 1.00 | 1.33 (0.83‒2.15) | 1.45 (0.94‒2.23) |
| 2 | 1.00 | 1.34 (0.81‒2.22) | 1.49 (0.97‒2.29) | |
| Hyper blood glucose | 1 | 1.00 | 1.03 (0.71‒1.50) | 1.65 (1.20‒2.27)** |
| 2 | 1.00 | 1.02 (0.71‒1.47) | 1.70 (1.23‒2.34)** | |
| High blood pressure | 1 | 1.00 | 0.95 (0.67‒1.33) | 0.93 (0.60‒1.45) |
| 2 | 1.00 | 0.92 (0.66‒1.27) | 0.97 (0.63‒1.51) |
| Total KHEI score, Q1 vs. Q4 (reference) | Model | Weight maintenance (n = 235) | Weight loss (n = 36) | Weight gain (n = 69) |
|---|---|---|---|---|
| Metabolic syndrome | 11) | 1.34 (0.76‒2.38) | 0.54 (0.21‒1.37) | 2.22 (0.92‒5.38) |
| 22) | 1.39 (0.79‒2.45) | 0.53 (0.19‒1.50) | 2.81 (1.06‒7.43)* | |
| Abdominal obesity | 1 | 1.31 (0.80‒2.15) | 0.47 (0.18‒1.24) | 1.58 (0.80‒3.10) |
| 2 | 1.37 (0.85‒2.20) | 0.35 (0.11‒1.11) | 1.67 (0.82‒3.40) | |
| High triglyceride | 1 | 1.78 (0.85‒3.74) | 0.96 (0.32‒2.89) | 6.76 (1.25‒36.61)* |
| 2 | 1.82 (0.88‒3.76) | 1.20 (0.30‒4.70) | 7.29 (1.54‒34.61)* | |
| Low HDL-C | 1 | 0.97 (0.54‒1.77) | 1.66 (0.89‒3.12) | 2.06 (0.86‒4.93) |
| 2 | 0.82 (0.41‒1.62) | 1.73 (0.90‒3.33) | 2.18 (0.88‒5.45) | |
| Hyper blood glucose | 1 | 1.02 (0.70‒1.48) | 0.46 (0.16‒1.36) | 1.67 (0.86‒3.22) |
| 2 | 1.03 (0.71‒1.50) | 0.43 (0.15‒1.26) | 1.63 (0.77‒3.46) | |
| High blood pressure | 1 | 1.20 (0.81‒1.77) | 0.25 (0.05‒1.32) | 0.98 (0.31‒3.06) |
| 2 | 1.23 (0.83‒1.82) | 0.30 (0.06‒1.64) | 1.14 (0.67‒3.52) |
| Variables | Weight maintenance (n = 235) | Weight loss (n = 36) | Weight gain (n = 69) | P-value |
|---|---|---|---|---|
| Age (year) | 61.66 ± 1.00 |
68.32 ± 1.95 |
52.25 ± 1.85 |
< 0.001 |
| Time since cancer diagnosis (year) | 12.35 ± 0.48 | 10.86 ± 1.01 | 11.84 ± 0.67 | 0.385 |
| Sex | 0.008 | |||
| Male | 101 (41.83) | 11 (28.20) | 13 (19.86) | |
| Female | 134 (58.17) | 25 (71.80) | 56 (80.14) | |
| Marital status | N/A | |||
| Married | 233 (98.83) | 36 (100) | 65 (90.20) | |
| Single | 2 (1.17) | 0 (0.00) | 4 (9.80) | |
| Region | 0.014 | |||
| Urban | 173 (80.31) | 25 (68.82) | 59 (93.26) | |
| Rural | 62 (19.69) | 11 (31.18) | 10 (6.74) | |
| Household income | 0.506 | |||
| Low | 74 (23.49) | 16 (35.90) | 19 (19.86) | |
| Middle-low | 54 (23.23) | 10 (26.81) | 15 (23.90) | |
| Middle-high | 53 (24.00) | 5 (16.91) | 21 (33.04) | |
| High | 54 (29.27) | 5 (20.38) | 14 (23.21) | |
| Education level | 0.426 | |||
| ≤ Elementary school | 71 (23.74) | 17 (33.71) | 18 (16.85) | |
| Middle school | 30 (10.66) | 6 (18.91) | 9 (16.44) | |
| High school | 74 (34.71) | 7 (22.45) | 22 (29.94) | |
| ≥ College | 60 (30.89) | 6 (24.93) | 20 (36.76) | |
| Smoking | 0.456 | |||
| Non-smoker | 217 (91.24) | 29 (82.87) | 61 (90.12) | |
| Current smoker | 18 (8.76) | 7 (17.13) | 8 (9.88) | |
| Alcohol drinking | 0.312 | |||
| Non drinker | 145 (57.16) | 24 (63.52) | 39 (46.98) | |
| Drinker | 90 (42.84) | 12 (36.48) | 30 (53.02) | |
| Physical activity | 0.809 | |||
| Passive | 146 (60.33) | 26 (66.79) | 41 (62.27) | |
| Active | 89 (39.67) | 10 (33.21) | 28 (37.73) | |
| BMI (kg/m2) | 0.011 | |||
| Obesity degree | 23.68 ± 0.24 |
22.71 ± 0.57 |
24.95 ± 0.49 |
N/A |
| Underweight (< 18.5) | 10 (3.82) | 2(5.97) | 0 (N/A) | |
| Normal (18.5‒22.9) | 100 (42.27) | 20 (46.46) | 17 (31.63) | |
| Overweight (23‒24.9) | 50 (20.58) | 7 (27.27) | 15 (15.22) | |
| Obese (≥ 25) | 75 (33.34) | 7 (20.31) | 37 (53.16) | |
| Range of weight change during the past year (kg) |
N/A | |||
| < 3 | 235 (100.0) | - | - | |
| 3–5.9 | - | 27 (68.45) | 59 (81.39) | |
| 6–9.9 | - | 6 (24.66) | 8 (13.75) | |
| ≥ 10 | - | 3 (6.89) | 2 (4.86) | |
| Weight control efforts during the past year | 0.052 | |||
| Weight loss effort | 67 (30.68) | 11 (37.76) | 35 (47.90) | |
| Weight maintenance effort | 60 (26.24) | 4 (10.15) | 15 (20.00) | |
| Weight gain effort | 17 (6.80) | 7 (20.05) | 1 (2.38) | |
| No weight control effort | 91 (36.28) | 14 (32.04) | 18 (29.72) |
| Variables | Weight maintenance (n = 235) | Weight loss (n = 36) | Weight gain (n = 69) | P-value |
|---|---|---|---|---|
| Metabolic syndrome | 72 (26.83) | 13 (37.46) | 30 (35.91) | 0.283 |
| Abdominal obesity | 91 (36.88) | 10 (30.47) | 40 (51.84) | 0.119 |
| High triglyceride | 53 (24.27) | 8 (24.98) | 20 (27.42) | 0.897 |
| Low HDL-C | 73 (25.54) | 18 (42.73) | 24 (36.32) | 0.096 |
| Hyper blood glucose | 106 (41.19) | 17 (48.62) | 36 (49.70) | 0.439 |
| High blood pressure | 108 (42.47) | 20 (52.29) | 24 (26.25) | 0.028 |
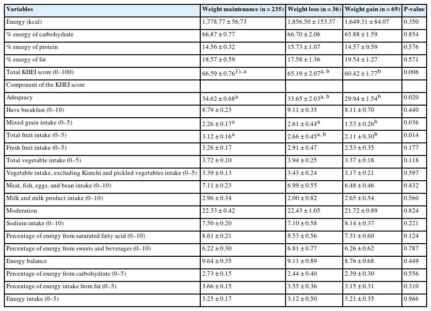
| Variables | Weight maintenance (n = 235) | Weight loss (n = 36) | Weight gain (n = 69) | P-value |
|---|---|---|---|---|
| Energy (kcal) | 1,778.77 ± 56.73 | 1,856.50 ± 153.37 | 1,649.31 ± 84.07 | 0.350 |
| % energy of carbohydrate | 66.87 ± 0.77 | 66.70 ± 2.06 | 65.88 ± 1.59 | 0.854 |
| % energy of protein | 14.56 ± 0.32 | 15.73 ± 1.07 | 14.57 ± 0.59 | 0.576 |
| % energy of fat | 18.57 ± 0.59 | 17.58 ± 1.36 | 19.54 ± 1.27 | 0.571 |
| Total KHEI score (0–100) | 66.59 ± 0.76a | 65.19 ± 2.07ab | 60.42 ± 1.77b | 0.006 |
| Component of the KHEI score | ||||
| Adequacy | 34.62 ± 0.68a | 33.65 ± 2.03ab | 29.94 ± 1.54b | 0.020 |
| Have breakfast (0–10) | 8.79 ± 0.23 | 9.11 ± 0.35 | 8.11 ± 0.70 | 0.440 |
| Mixed grain intake (0–5) | 2.26 ± 0.17a | 2.61 ± 0.44a | 1.53 ± 0.26b | 0.036 |
| Total fruit intake (0–5) | 3.12 ± 0.16a | 2.66 ± 0.45ab | 2.11 ± 0.30b | 0.014 |
| Fresh fruit intake (0–5) | 3.26 ± 0.17 | 2.91 ± 0.47 | 2.53 ± 0.35 | 0.177 |
| Total vegetable intake (0–5) | 3.72 ± 0.10 | 3.94 ± 0.25 | 3.37 ± 0.18 | 0.118 |
| Vegetable intake, excluding Kimchi and pickled vegetables intake (0–5) | 3.39 ± 0.13 | 3.43 ± 0.24 | 3.17 ± 0.21 | 0.597 |
| Meat, fish, eggs, and bean intake (0–10) | 7.11 ± 0.23 | 6.99 ± 0.55 | 6.48 ± 0.46 | 0.432 |
| Milk and milk product intake (0–10) | 2.96 ± 0.34 | 2.00 ± 0.82 | 2.65 ± 0.54 | 0.560 |
| Moderation | 22.33 ± 0.42 | 22.43 ± 1.05 | 21.72 ± 0.89 | 0.824 |
| Sodium intake (0–10) | 7.50 ± 0.20 | 7.10 ± 0.58 | 8.14 ± 0.37 | 0.221 |
| Percentage of energy from saturated fatty acid (0–10) | 8.61 ± 0.21 | 8.53 ± 0.56 | 7.31 ± 0.60 | 0.124 |
| Percentage of energy from sweets and beverages (0–10) | 6.22 ± 0.30 | 6.81 ± 0.77 | 6.26 ± 0.62 | 0.787 |
| Energy balance | 9.64 ± 0.35 | 9.11 ± 0.89 | 8.76 ± 0.68 | 0.449 |
| Percentage of energy from carbohydrate (0–5) | 2.73 ± 0.15 | 2.44 ± 0.40 | 2.39 ± 0.30 | 0.556 |
| Percentage of energy intake from fat (0–5) | 3.66 ± 0.15 | 3.55 ± 0.36 | 3.15 ± 0.31 | 0.310 |
| Energy intake (0–5) | 3.25 ± 0.17 | 3.12 ± 0.50 | 3.21 ± 0.35 | 0.966 |
| Variables | Model | Weight maintenance (n = 235) | Weight loss (n = 36) | Weight gain (n = 69) |
|---|---|---|---|---|
| Metabolic syndrome | 1 |
1.00 | 1.06 (0.64‒1.75) | 1.98 (1.34‒2.93) |
| 2 |
1.00 | 1.02 (0.62‒1.68) | 2.07 (1.40‒3.06) |
|
| Abdominal obesity | 1 | 1.00 | 0.71 (0.39‒1.30) | 1.87 (1.32‒2.64) |
| 2 | 1.00 | 0.69 (0.38‒1.28) | 1.93 (1.36‒2.74) |
|
| High triglyceride | 1 | 1.00 | 1.11 (0.53‒2.32) | 1.13 (0.65‒1.98) |
| 2 | 1.00 | 1.03 (0.51‒2.09) | 1.20 (0.69‒2.09) | |
| Low HDL-C | 1 | 1.00 | 1.33 (0.83‒2.15) | 1.45 (0.94‒2.23) |
| 2 | 1.00 | 1.34 (0.81‒2.22) | 1.49 (0.97‒2.29) | |
| Hyper blood glucose | 1 | 1.00 | 1.03 (0.71‒1.50) | 1.65 (1.20‒2.27) |
| 2 | 1.00 | 1.02 (0.71‒1.47) | 1.70 (1.23‒2.34) |
|
| High blood pressure | 1 | 1.00 | 0.95 (0.67‒1.33) | 0.93 (0.60‒1.45) |
| 2 | 1.00 | 0.92 (0.66‒1.27) | 0.97 (0.63‒1.51) |
| Total KHEI score, Q1 vs. Q4 (reference) | Model | Weight maintenance (n = 235) | Weight loss (n = 36) | Weight gain (n = 69) |
|---|---|---|---|---|
| Metabolic syndrome | 1 |
1.34 (0.76‒2.38) | 0.54 (0.21‒1.37) | 2.22 (0.92‒5.38) |
| 2 |
1.39 (0.79‒2.45) | 0.53 (0.19‒1.50) | 2.81 (1.06‒7.43) |
|
| Abdominal obesity | 1 | 1.31 (0.80‒2.15) | 0.47 (0.18‒1.24) | 1.58 (0.80‒3.10) |
| 2 | 1.37 (0.85‒2.20) | 0.35 (0.11‒1.11) | 1.67 (0.82‒3.40) | |
| High triglyceride | 1 | 1.78 (0.85‒3.74) | 0.96 (0.32‒2.89) | 6.76 (1.25‒36.61) |
| 2 | 1.82 (0.88‒3.76) | 1.20 (0.30‒4.70) | 7.29 (1.54‒34.61) |
|
| Low HDL-C | 1 | 0.97 (0.54‒1.77) | 1.66 (0.89‒3.12) | 2.06 (0.86‒4.93) |
| 2 | 0.82 (0.41‒1.62) | 1.73 (0.90‒3.33) | 2.18 (0.88‒5.45) | |
| Hyper blood glucose | 1 | 1.02 (0.70‒1.48) | 0.46 (0.16‒1.36) | 1.67 (0.86‒3.22) |
| 2 | 1.03 (0.71‒1.50) | 0.43 (0.15‒1.26) | 1.63 (0.77‒3.46) | |
| High blood pressure | 1 | 1.20 (0.81‒1.77) | 0.25 (0.05‒1.32) | 0.98 (0.31‒3.06) |
| 2 | 1.23 (0.83‒1.82) | 0.30 (0.06‒1.64) | 1.14 (0.67‒3.52) |
n (weighted %) or Mean ± SE. BMI, body mass index; N/A, not applicable. Range of weight change was presented as absolute values. Values with different superscript letters differ significantly (
n (weighted %). HDL-C, high-density lipoprotein cholesterol.
Mean ± SE. Adjusted for age and sex. KHEI, Korean Healthy Eating Index. Means with different superscript letters indicate significant differences among groups (
Relative risk (95% confidence interval). HDL-C, high-density lipoprotein cholesterol. Model 1: adjusted for age and sex. Model 2: adjusted for age, sex, residence area, and total energy intake.
Relative risk (95% confidence interval). KHEI, Korean Healthy Eating Index; HDL-C, high-density lipoprotein cholesterol. Model 1: adjusted for age and sex. Model 2: adjusted for age, sex, residence area, and total energy intake.
