- [Korean]
-
Association between Eating Alone Patterns and Mental Health Conditions by Region among Korean Adults
-
Kyung Won Lee, Dayeon Shin
-
Korean J Community Nutr 2021;26(6):441-454. Published online December 31, 2021
-
DOI: https://doi.org/10.5720/kjcn.2021.26.6.441
-
-
Abstract
PDF
- Objectives
This study investigated the association between the frequency and pattern of eating alone and the mental health status according to region in Korean adults. Methods The data of 10,040 Korean adults aged ≥ 19 years from the Korea National Health and Nutrition Examination Survey (KNHANES) 2017 and 2019 were used.
Participants were divided into 4 groups based on their frequency of eating alone: none (all meals together), 1, 2, and 3 meals/day alone. The regions were divided into urban and rural areas. Mental health status was assessed by stress recognition, depressive symptoms, and suicidal ideation. Multivariable logistic regressions were conducted to estimate the adjusted odds ratios (AORs) with 95% confidence intervals (CIs) on the association of the frequency and pattern of eating alone with poor mental health after controlling for covariates. Results Among Korean adults, 74.1% ate more than one meal a day alone. Individuals having 3 meals a day alone tended to be less educated, single, single person households, or living in urban areas (all P < 0.05). In rural areas, those having 3 meals/ day alone had higher odds of stress recognition (AOR: 1.55, 95% CI: 1.02-2.35) than those having all meals together. In urban areas, individuals eating alone 3 times/day had higher odds of stress recognition (AOR: 1.60, 95% CI: 1.31-1.96), depressive symptoms (AOR: 1.61, 95% CI: 1.23-2.12), and suicidal ideation (AOR: 2.14, 95% CI: 1.42-3.22) compared to those having all meals together. Urban residents having dinner alone had higher odds of depressive symptoms (AOR: 1.29, 95% CI: 1.05-1.58) and suicidal ideation (AOR: 1.66, 95% CI: 1.19-2.33) than those having dinner with others. Conclusions Our findings showed that the frequency and patterns of eating alone were differentially associated with increased odds of poor mental health according to region of residence. Nutrition education is needed for those frequently eating alone, particularly those living in urban areas, to highlight the advantages of eating together and to ensure that they have balanced and healthy meals even if they eat alone.
-
Citations
Citations to this article as recorded by 
- The Impact of Social Activity Restrictions on Depression in Young Single-Person Households: The Moderating Effect of Eating Alone
Jiwon Kim, Youngye Park Journal of Social Science.2025; 36(3): 27. CrossRef - Association of ultra-processed food with diabetes and impaired fasting glucose in elderly populations (urban and rural): a cross-sectional study
Seung Jae Lee, Mi Sook Cho Korean Journal of Community Nutrition.2024; 29(1): 51. CrossRef - How Does the Frequency of Eating-Alone among Older People in Korea Affect Their Health and Dietary Behavior?
Yongseok Kwon, Kyung Hee Hong, Yoo-Kyung Park, Sohye Kim Nutrients.2023; 15(9): 2085. CrossRef - Impact assessment of a primary care physician counseling program for youth population
Yun-Su Kim, Shin-Ae Kim Medicine.2022; 101(46): e31916. CrossRef
-
2,542
View
-
43
Download
-
4
Crossref
- [Korean]
-
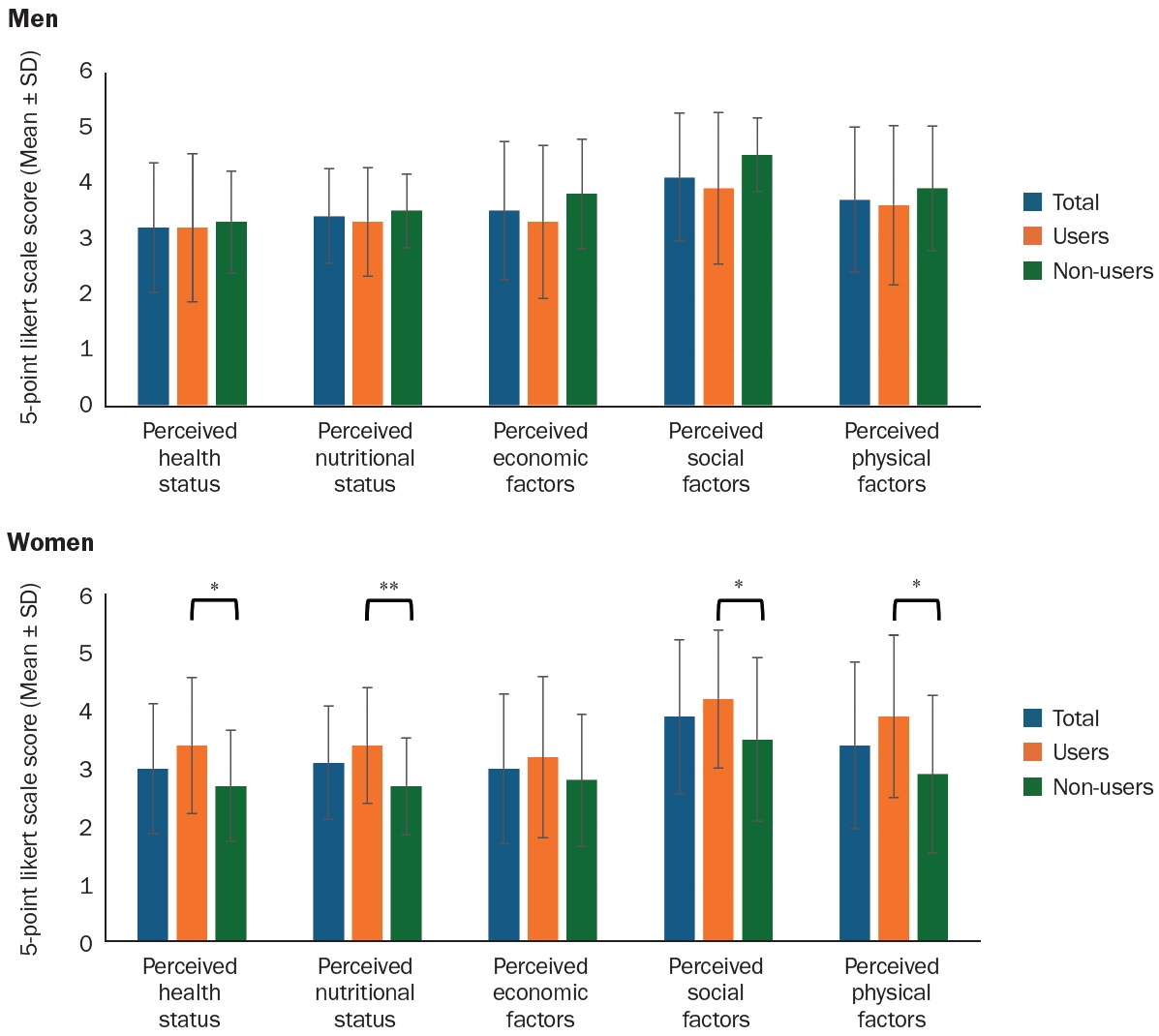
A comparative study on nutritional status and diet-related subjective perceptions according to free meal service utilization among older adults living alone in Korea: a cross-sectional study
-
Minju Jeong, Dayeon Shin
-
Received November 7, 2025 Accepted January 22, 2026 Published online February 6, 2026
-
DOI: https://doi.org/10.5720/kjcn.2025.00339
-
-
Abstract
- Objectives
To assess whether the use of free meal services is associated with diet quality among older adults living alone in Incheon, Korea, by comparing the Nutrition Quotient for the Elderly (NQ-E), index of nutritional quality (INQ), and mean adequacy ratio (MAR).
Methods A cross-sectional survey was conducted from March 5 to April 24, 2025 using one-to-one interviews and partially self-administered questionnaires. After excluding cases with missing responses or energy intake of < 500 kcal/day, 119 participants were analyzed (56 men and 63 women). A single 24-hour recall was used to calculate INQ and MAR. NQ-E was evaluated using total and subdomain scores. Group comparisons and sex-stratified multiple linear regression analyses were performed.
Results Diet-quality indicators were higher among service users than among non-users. INQ for thiamin and riboflavin was significantly higher in men than in women. Meanwhile, INQ for zinc, vitamin A, riboflavin, and folate was higher was higher in women than in men. In both sexes, MAR was higher among users than among non-users (men: 0.8 ± 0.2 vs. 0.6 ± 0.2; women: 0.7 ± 0.2 vs. 0.5 ± 0.2; P < 0.001 for all). Differences in NQ-E total scores were small. Among women, the practice subdomain score was higher in users than in non-users (66.0 ± 16.4 vs. 55.2 ± 15.5; P = 0.016), and the proportion in upper grades was greater (P = 0.030). Regression analysis showed that service use was negatively associated with NQ-E in men (P = 0.007) and positively associated with MAR in women (P = 0.010).
Conclusion Use of free meal services was associated with improved diet quality, as reflected by MAR and INQ for specific nutrients, and with higher NQ-E practice scores observed in women than in men. Policies should prioritize food-insecure groups and support sustained participation.
|