, Saerom Shin2
, Eun Yeol Woo3
, Hye-Kyung Park4
, Taisun Hyun5




Objectives
Screen time refers to the time spent using screen media, such as televisions, smartphones, computers, or tablets. Excessive exposure to screen media has been reported to negatively impact young children’s health and development, including overweight, short sleep duration, and language delays. This study examined the association of screen time and mealtime media use with dietary behaviors among preschool children.
Methods
A cross-sectional survey was conducted on parents of children aged three to five years using the online questionnaires of the Nutrition Quotient for Preschoolers (NQ-P) and the Dietary Screening Test (DST). Data from 261 children’s parents were analyzed.
Results
Of the 261 children, 96.9% used screen media, 55.6% used screen media for two hours or more daily, and 30.7% were exposed to screen media during meals. The NQ-P scores were significantly lower in the children with longer screen time and mealtime media use. Children who used screen media for two hours or more and those exposed to screen media during meals consumed kimchi less frequently and confectionery and sugar-sweetened beverages more frequently than children who used less than two hours and were not exposed to screen media during meals. In addition, they were more likely to be picky about food, refuse to eat, and less likely to feed themselves than children with shorter screen time and no mealtime media use.
Conclusions
This study reported an association between unhealthy dietary behaviors, feeding difficulties, and screen time and mealtime media use among preschool children. Further research should explore effective strategies for reducing children’s screen time.
Screen time refers to the time spent using screen media, such as televisions, smartphones, computers, or tablets. Excessive exposure to screen media has been reported to negatively impact young children’s health and development, including overweight, short sleep duration, and language delays. This study examined the association of screen time and mealtime media use with dietary behaviors among preschool children.
A cross-sectional survey was conducted on parents of children aged three to five years using the online questionnaires of the Nutrition Quotient for Preschoolers (NQ-P) and the Dietary Screening Test (DST). Data from 261 children’s parents were analyzed.
Of the 261 children, 96.9% used screen media, 55.6% used screen media for two hours or more daily, and 30.7% were exposed to screen media during meals. The NQ-P scores were significantly lower in the children with longer screen time and mealtime media use. Children who used screen media for two hours or more and those exposed to screen media during meals consumed kimchi less frequently and confectionery and sugar-sweetened beverages more frequently than children who used less than two hours and were not exposed to screen media during meals. In addition, they were more likely to be picky about food, refuse to eat, and less likely to feed themselves than children with shorter screen time and no mealtime media use.
This study reported an association between unhealthy dietary behaviors, feeding difficulties, and screen time and mealtime media use among preschool children. Further research should explore effective strategies for reducing children’s screen time.
Screen time refers to the time spent using screen media, such as televisions (TVs), smartphones, computers, or tablets [1]. In recent years, children have tended to spend more time in front of screens than ever for entertainment and learning purposes [2]. Children are being introduced to screen media at increasingly younger ages [3, 4]. Children live in an environment where they are easily exposed to screen media because of the advances in information and communication technology and the expansion of the internet [5].
The World Health Organization (WHO) advises against screen media use for children under two years old and recommends a maximum of one hour per day for children aged two to five [6]. Pediatric societies worldwide also had similar screen time guidelines [7, 8, 9, 10]. On the other hand, studies have shown that children under five were typically engaged with screens for more than two hours on average [11, 12], far exceeding the WHO recommendations. A recent review reported that most preschoolers did not meet screen time guidelines [13].
As of 2022, 99.2% and 98.6% of Korean households owned TVs and smartphones, respectively, and 71.5% owned computers, including desktops, laptops, or tablets [14]. A 2020 survey of Korean children aged three-nine revealed that the average screen time for children aged three-four years was 4.1 hours and 4.4 hours for those aged five-six. Furthermore, more than 43% of children began using smartphones before turning three years old [4]. Hence, Korean children are exposed to excessive screen media environments.
Excessive screen media use has been found to negatively impact young children’s health and development, including overweight, short sleep duration, and language delays [15, 16, 17, 18, 19]. Longer screen time has been reported to be associated with unhealthy dietary behaviors, including lower fruit and vegetable consumption, higher fat and total energy intake, lower dietary quality, and picky eating in young children [20, 21, 22].
Children with longer screen time were more likely to use screens during meals [23]. Mealtime media use was also associated with increased energy intake and unhealthy eating or drinking habits [24]. Toddlers perceived as selective or fussy eaters were more likely to be fed in front of a screen [25]. Thus, a potential association might exist between screen time, mealtime screen use, dietary behaviors, and feeding difficulties in young children.
In Korea, screen usage has been associated with unhealthy dietary behaviors, like frequent consumption of high-energy snacks, in different age groups, including elementary school students [26, 27], adolescents [28, 29], and college students [30]. On the other hand, research on the association between screen time or mealtime media use and dietary behaviors in preschool children is limited. Therefore, this study examined the association of screen time and mealtime media use with dietary behaviors and feeding difficulties among Korean preschool children aged three-five years.
Ethics statementThis study was approved by the Public Institutional Bioethics Committee (P01-202006-22-008). The parents of children were informed of the study purposes, and they provided written informed consent. |
A cross-sectional study was conducted on parents of children aged three-five years attending daycare centers registered with the Centers for Children's Food Service Management (CCFSM) with the cooperation of 14 centers across the country (two in Seoul, seven in big cities, three in small cities, and two in rural areas) from June to September 2020. After promoting the study to parents in daycare centers, parents who expressed their intention to participate were contacted individually to explain the purposes and procedures of the study. The URL of the questionnaire was sent through a smartphone to the parents who provided written informed consent. The responses were collected online from the parents of 272 children, but the analysis was performed on data from the parents of 261 children after excluding those with insufficient responses and those diagnosed with congenital anomalies or diabetes. We confirmed the adequate power (1-β error probability) of this study to perform the intended analysis with an α-error probability of 0.05 and effect size of 0.5 using G*Power software 3.1.
The questionnaires of the nutrition quotient for preschoolers (NQ-P) and the diet screening test (DST) were used. NQ-P was developed to evaluate nutrition adequacy and dietary quality for Korean preschoolers [31], and the DST was developed to screen the dietary problems of preschoolers, including feeding difficulties [32].
NQ-P consisted of three dimensions: balance, moderation, and environment. The six questions in the balance dimension included the number of vegetable side dishes in one meal and the consumption frequency of white milk, meat, fish, beans/bean products, and fruits. The four questions in the moderation dimension were asked about the consumption frequency of confectionery, sugar-sweetened beverages, processed meat, and fast food. The five questions in the environmental dimension included the average screen time, breakfast frequency, eating without moving around, washing hands before meals, and parents’ effort for healthy eating. All questions were designed to choose one from five-six options.
DST consisted of the consumption frequency of eight food groups, feeding difficulties, and screen exposure. In this study, only three out of eight consumption frequencies were analyzed because the consumption frequencies of other food groups except vegetables (except kimchi), kimchi, and fruits overlapped with the questions in NQ-P. Feeding difficulties consisted of seven questions: chewing difficulties (hard food and chewy food), swallowing difficulties (holding or spitting out food and retching), picky eating, refusal to eat, and not feeding themselves. All questions were made to choose one from five options.
The daily screen time was measured by one question in the NQ-P questionnaire. The parents were asked to estimate the overall screen time of children using TV, smartphone, tablet, and computer and choose one of five answer options: Never, 30 minutes, one hour, two hours, ≥ three hours. Mealtime media use was measured using two separate questions in the DST: ‘watching TV during meals’ and ‘watching smartphone during meals’ on a five-Likert scale, ranging from ‘very likely’ to ‘very unlikely’.
The general characteristics included in NQ-P and DST were the child's sex, age, daytime caregiver for the child, meal duration, sleep duration, and height and weight. Meal duration, sleep duration, height, and weight were open-ended questions, while the remainder were closed-ended. Body mass index (BMI) was calculated by dividing body weight (kg) by height squared (m2) and categorized into underweight (weight for age < 5th percentile), normal weight (5 ≤ BMI for age < 85th percentile), overweight (85 ≤ BMI for age < 95th percentile), and obese (BMI for age ≥ 95th percentile) based on the 2017 Korean National Growth Chart for children and adolescents [33].
The consumption frequency of the food group and breakfast frequency were scored as the average weekly frequency. For example, ‘Not at all = 0’, ‘Once a month = 1/30 × 7’, ‘Once every two weeks = 1/2’, ‘Once a week = 1’, ‘three-four times a week = 3.5’, ‘At least once a day = 1 × 7’, ‘Once or twice a day = 1.5 × 7’, and ‘at least twice a day = 2 × 7’.
The three questions in the environmental dimension of the NQ-P questionnaire, including eating without moving around, washing hands before meals, parents’ effort for healthy eating, and the seven questions about feeding difficulties in DST, were rated on a five-point Likert scale. These were scored from ‘very unlikely = 1’ to ‘very likely = 5’. A higher score indicated healthier eating behaviors or greater feeding difficulties. The overall NQ-P score and each dimensional NQ-P score were calculated out of 100 points, as described elsewhere [31]. A score of ≥ 65 was evaluated as ‘good’, and a score of < 65 as‘monitoring required’.
The children were grouped based on their screen time and mealtime media use. For the screen time, the children were classified into two groups: those using screens ‘less than two hours per day’ and those using screens ‘two hours or more per day’. Although the WHO recommends that preschool children should spend less than one hour on screens [6], only 2% of Korean children aged two-five were shown to adhere to the recommendation [34], and preschoolers who used screens for ≥ 2 hours per day were more likely to develop behavioral problems, including unhealthy dietary behaviors [35, 36, 37]. Therefore, the groups were classified based on two hours a day.
The children were divided into three groups for mealtime media use (including TV or smartphone): ‘yes’, ‘no’, and‘sometimes’. The children were classified as ‘yes’ if the parents answered ‘very likely’ or ‘likely’ to at least one of the two questions regarding media use during meals. Children whose parents answered ‘very unlikely’ or ‘unlikely’ were classified as‘no’. Children whose parents gave other answers to the two questions were classified as ‘sometimes’.
The data were analyzed using the Statistical Analysis Software (SAS, Version 9.4, SAS Institute Inc., Cary, NC, USA). The frequency and percentage for categorical variables and mean and standard deviation for continuous variables were presented. The differences between the groups according to screen time and mealtime media use were tested using a chi-square test, t-test, or analysis of variance. If significant differences were found between the three groups, the individual means were compared between groups using Tukey's multiple comparison test. An analysis of covariance was also performed to analyze the differences in dietary behaviors according to screen time and mealtime media use after adjusting for potential confounding factors, including sex, age, and BMI, which were associated with the dietary behaviors of preschool children [38]. A P-value of less than 0.05 was considered statistically significant.
Fig. 1 shows the average daily screen time and mealtime media use of 261 children aged three-five years. Most children (96.9%) used screen media. For screen time, 31.4% of children spent one hour on the screen media, and 39.5% reported two hours. The proportion of children who spent ≥ 2 hours was 55.6%. While eating, 25.2% and 15.7% of children watched TV and used smartphones, respectively, and 30.7% (n = 80, Table 1) of children either watched TV or used smartphones, whereas 42.1% (n = 110, Table 1) did not use TV or smartphones.
Fig. 1
Percentage of children by (a) average screen time and (b) mealtime media use. 1) Time spent using TV, smartphones, computers, and tablets; 2) Use of TV or smartphone during meals
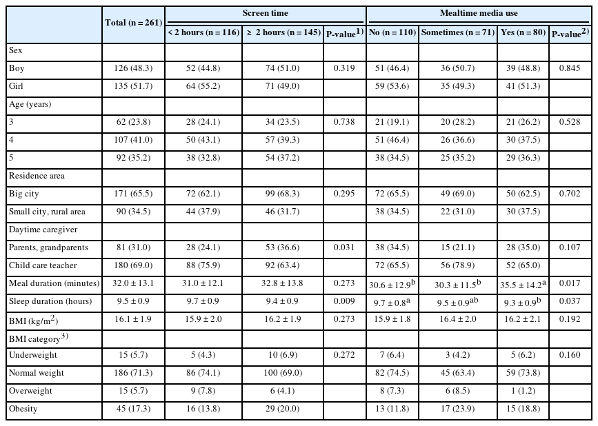
Table 1
General characteristics of preschoolers by screen media exposure
Table 1 lists the general characteristics of the children by screen media exposure. Of 261 children, 48.3% were boys; 41.0% and 35.2% were four and five years old, respectively, and 65.5% lived in big cities. As for those caring for children during the daytime, 31.0% were parents or grandparents, and 69.0% were teachers in the daycare centers. The average meal duration was 32.0 minutes, and the average sleep duration was 9.5 hours. The average BMI was 16.1 kg/m2; 71.3% had a normal weight, and 17.3% were obese.
There was no significant difference between groups regarding screen media exposure in sex, age, residence area, BMI, and BMI category. On the other hand, there were significant differences in daytime caregiver (P = 0.031), and sleep duration (P = 0.009) according to screen time, and meal duration (P = 0.017) and sleep duration (P = 0.037) according to mealtime media use. The proportion of children with parents/grandparents as day caregivers was significantly higher in children with ≥ 2 hours of screen time than in children with < 2 hours of screen time (36.6% vs. 24.1%, P = 0.031). The children with ≥ 2 hours of screen time and mealtime media use showed shorter sleep duration than children with < 2 hours of screen time (9.4 hours vs. 9.7 hours, P = 0.009) and without mealtime media use (9.3 hours vs. 9.7 hours, P = 0.037). In addition, the children who used screen media during meals had a longer meal duration (35.5 minutes) than those in the other groups (30.6 and 30.4 minutes, P = 0.017).
Table 2 lists the NQ-P score and assessment result by screen media exposure. The average score of the NQ-P was 62.7 for the balance dimension, 50.7 for the moderation dimension, 62.0 for the environment dimension, and 58.9 overall. Based on the overall score, 24.9% of children were assessed as ‘good’, and 75.1% were assessed as ‘monitoring required’.
Table 2
NQ-P score and assessment result by screen media exposure
Although there was no difference in the balance score according to the screen time and mealtime media use, significantly lower overall NQ-P scores (P < 0.001) and lower scores of moderation (P < 0.001) and environment dimension (P < 0.001) were observed in children with ≥ 2 hours of screen time and children using media during meals than children with < 2 hours of screen time and children not using media during meals, respectively. Significantly higher proportions of children with ≥ 2 hours of screen time (86.2%) and using screen media during meals (92.5%) were assessed as ‘monitoring required’ (P < 0.001 for both).
Table 3 lists the average consumption frequency of the food group by screen media exposure. Children with screen time ≥ 2 hours showed significantly lower consumption frequencies of vegetables (P = 0.009) and kimchi (P < 0.001) and higher consumption frequencies of confectionery (P < 0.001) and sugar-sweetened beverage (P < 0.001) than the children with screen time < 2 hours. The significance remained after adjusting for sex, age, and BMI.
Table 3
Weekly consumption frequency of food group by screen media exposure
The frequency of kimchi consumption was significantly lower in children using screen media during meals than in the children not using it (P < 0.001). On the other hand, the consumption frequencies of confectionery (P = 0.002), sugar-sweetened beverages (P < 0.001), and processed meat (P = 0.004) were significantly higher. The significance remained after adjusting for sex, age, and BMI.
Table 4 lists the food environment factors of NQ-P by screen media exposure. The average screen time was 1.6 hours, and the breakfast frequency was 4.4 times a week. The average score for eating without moving around, washing hands before eating, and the parents’ effort for healthy eating was 3.4, 3.8, and 3.9 out of 5, respectively.
Table 4
Environmental factors of NQ-P by screen media exposure
Children with ≥ 2 hours of screen time showed significantly lower breakfast frequency (P = 0.029), lower scores of eating without moving around (P = 0.012), washing hands before eating (P < 0.001), and parents’ efforts for healthy eating (P < 0.001) than those of children with < 2 hours of screen time.
Children who used screen media during meals showed significantly higher screen time (P < 0.001), lower frequency of breakfast (P = 0.008), lower scores of eating without walking around (P = 0.002), washing hands before eating (P = 0.003), and parents’ efforts for healthy eating (P = 0.006) than children who did not use screen during meals. The significance remained after adjusting for sex, age, and BMI.
Table 5 lists the feeding difficulties by screen media exposure. Higher scores mean more difficulties for children. In a comparison adjusted for sex, age, and BMI, children with ≥ 2 hours of screen time exhibited significantly greater difficulty in swallowing, which was evident through behaviors, such as holding or spitting out food (P = 0.012), as well as indications of swallowing difficulty through retching (P = 0.002). They were more likely to be picky eaters (P < 0.001), refuse to eat (P = 0.033), and not feed themselves (P = 0.004). In addition, children who used screens during meals were more likely to be picky eaters (P < 0.001), refuse to eat (P = 0.008), and not feed themselves (P < 0.001) than children who did not use or sometimes use screens during meals.
Table 5
Feeding difficulties1) by screen media exposure
These findings revealed a distinct pattern concerning screen time and its impact on preschool children's dietary behaviors. Children with prolonged screen exposure had lower NQ-P scores, exhibited unhealthy dietary behaviors, and encountered more feeding difficulties. Furthermore, these children were more likely to engage with screens during meals, which was further linked with adverse dietary behaviors and increased feeding challenges. Comparatively, children with less screen time had better dietary behaviors and fewer feeding difficulties.
In the present study, 55.6% of the children used screens for two hours or more per day. In the early 2010s, the percentage of children aged three-five years with this screen time was approximately 15-20% [39, 40]. More recent studies have reported that this figure was increased to 48-52% [41, 42, 43], while the result was even higher [39, 40, 41, 42, 43]. According to the 2020 Children’s Media Use Survey Report, the average daily time spent by Korean children aged three-four years was 124 minutes on TVs, 67 minutes on smartphones, 45 minutes on tablets, and 12 minutes on computers for a total of four hours and eight minutes a day [5], which significantly exceeded the WHO recommendation of no more than one hour of sedentary screen time for children of this age group [6]. Korean children aged three-four are using screens for over four hours per day on average, quadrupling the WHO recommendation [6].
A meta-analysis that examined the global prevalence of meeting screen time guidelines demonstrated that 64.4% of children aged two-five years exceeded the WHO recommendation, and 44.0% exceeded two hours per day [13]. Lee et al. [34] reported that only 2% of Canadian and Korean children aged two-five adhered to the recommendation.
This study found that 30.7% of children watched TV or used smartphones while eating. This observation is of concern because longer screen times and media use during meals are associated with a higher likelihood of consuming more energy-dense, high-fat, high-sugar foods, and fewer fruits and vegetables [20, 21, 22, 23, 24]. Consistent with these studies, the results suggested that children with screen times of two hours or more, as well as children who used screens during meals, had significantly lower consumption frequencies of kimchi, but higher consumption frequencies of confectionery, sugar-sweetened beverages, and processed meat, compared to children with less than two hours of screen time and children who did not use screen media during meals.
The association of screen time and mealtime media use with higher frequencies of confectionery and sugar-sweetened beverages might be because children may unconsciously consume more snacks and beverages while using screen media and that children may have more chance to watch food advertisements [21, 44]. The advertisement of unhealthy food significantly increased food consumption, particularly energy-dense and low-nutrient foods, which led to the reduced consumption of vegetables at mealtimes [45]. Longer screen time was associated with reduced vegetable and kimchi consumption, and mealtime media use was associated with reduced kimchi consumption in the present study. Reduced vegetables and kimchi consumption appear to be related to feeding difficulties [46] in children with longer screen time and mealtime media use.
A negative correlation between screen time and sleep duration or physical activity has been demonstrated [15, 16, 18]. Children who slept for shorter periods were more likely to consume snacks at night [38]. Snacking, reduced physical activity, and short sleep duration combined with screen media use increased the risk of being overweight in children [17]. On the other hand, the association of excessive screen time and mealtime screen use with overweight and obesity in young children is inconsistent [15, 16, 17]. In the present study, there was no significant association of screen time and mealtime media use with BMI. Therefore, longitudinal studies will be needed to confirm the effects of screen time and mealtime media use on obesity in young children.
Feeding difficulty, an umbrella term encompassing all feeding problems, including prolonged and stressful mealtimes, picky eating, food refusal, and lack of appropriate independent feeding skills [47], was associated with screen time and mealtime media use in the present study. This finding aligns with Teekavanich et al. [48], who also showed that children experiencing feeding difficulties frequently use screen media during meals more regularly. Some parents have been found to allow screen media during meals as a coping strategy for their children’s picky eating. Nevertheless, to foster healthy dietary behaviors in children, it is recommended that parents minimize the use of screen media during meals [49].
This study had several limitations. First, this was a cross-sectional study and could not prove the causation of the relationship. Second, the data were collected online, and the accuracy depends on parents’ recall. Despite these limitations, this study also has strengths. This study used a diverse sample, recruiting from various regions across the country and implementing the survey in 14 different CCFSMs located in cities of varying sizes and rural areas, even though the small sample size limits the generalizability of these findings. Furthermore, the validated NQ-P questionnaire [31] gives credibility to the present results.
This study showed that screen time and mealtime media use were associated with unhealthy dietary behaviors and feeding difficulties among preschool children. Children who used screen media for two hours or more and children exposed to screen media during meals had lower NQ-P scores and consumed kimchi less frequently, and confectionery and sugar-sweetened beverages more frequently than the children who used less than two hours and were not exposed during meals. In addition, they were more likely to be picky about food and refuse to eat. They were also less likely to feed themselves than the children with shorter screen time and no mealtime media use.
These findings highlight the need for strategies to reduce screen time in children. Parents and caregivers should limit screen exposure during mealtime to promote healthier eating habits. Future research should focus on identifying effective interventions to reduce screen time in children. In addition, developing guidelines for screen time, encouraging adherence, and monitoring screen time can support healthy developmental outcomes for young children.
Conflict of Interest:The authors declare no conflict of interest. The funders had no role in influencing the study results.
Funding:This study was supported by the National Institute of Food & Nutrition Service.
The participants in this study did not provide written consent for data disclosure, and therefore data cannot be used due to the sensitive nature of the research supporting data.
